2025 Vol. 46, No. 10

Fluid Mechanics
Experimental and Numerical Study of Impingement Heat Transfer in Confined Array Jets
LI Yong, ZHANG Jin, ZHANG Yingchun, ZHANG Jiajie, MA Suxia, XIE Gongnan
2025, 46(10): 1233-1244. doi: 10.21656/1000-0887.460047
Abstract(411) HTML (199) PDF(58)
Abstract:
Array jet impingement is an effective method to enhance heat transfer performance in microchannels or confined spaces. The effects of dimensionless parameters of jet height/jet distance (Z/dj=0.60~1.67) on the heat transfer of multi-jet impinging flow were investigated from the perspectives of the target surface temperature distribution, the flow field information and the global Nusselt number by experiment and numerical simulation. The results show that, the interaction force between the fluids becomes more balanced with an odd number of jet holes. At a constant total flow rate, fewer jet holes lead to better cooling performance. The jet has obvious deviation with relatively smaller jet spacings. The symmetry of the flow structure will gradually recover with the increase of the jet spacing, the interaction between jets will weaken, and the temperature distribution on the heating surface and the fluid velocity distribution will become more uniform. The flow and heat transfer performances of multiple jets are jointly affected by Z and dj, and Z/dj has little difference in Nusselt number distributions for 2 and 3 jet holes, where the Nusselt number reaches its peak for Z/dj=1.67 and 1.25, respectively. The findings contribute to optimizing multiple jets' configurations and further enhancing their heat transfer performances.
Numerical Evaluation of a Novel Multi-Relaxation Kinetic Model for Gas Mixture Flows
PENG Aoping, WU Junlin, LI Zhihui
2025, 46(10): 1245-1255. doi: 10.21656/1000-0887.450175
Abstract(266) HTML (164) PDF(32)
Abstract:
To study the flow mechanism of the gas mixture transport phenomenon in all flow regimes, a multi relaxation collision model equation suitable for gas mixture was developed out of the Boltzmann equation as the basic equation in the gas kinetic theory, and the expression of the collision relaxation frequency pertinent to the DSMC method was established. Then under the framework of the gas kinetic unified algorithm, a multi-component 1D shock wave structure problem with high particle mass and mole fraction ratios was simulated, and compared with the DSMC results. The comparison shows that, the proposed model equation can simulate the macroscopic parameter changes of the gas mixture and its components in the shock wave, and can analyze the diffusion rules of each component of the gas mixture. The validity and correctness of the multi relaxation model equation were verified. The simulation results indicate that, the diffusion effect of the components with the smallest molecular weight is the most significant, but the effect of other components is relatively small, and the flow non-equilibrium effect mainly comes from the component with the largest molecular weight; the thermal diffusion caused by temperature gradients is more sensitive to molecular mass in shock wave, and the mass diffusion caused by component concentration gradients makes components separate, which produces a significant non-equilibrium effect downstream of shock wave. At the same time, the addition of medium-mass molecules in the multi-component mixed gas increases the diffusion of large-mass molecules and magnifies the separation effect.
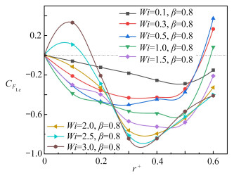
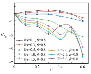
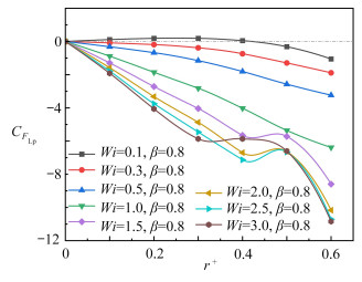
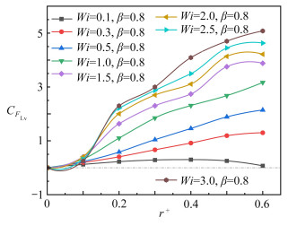
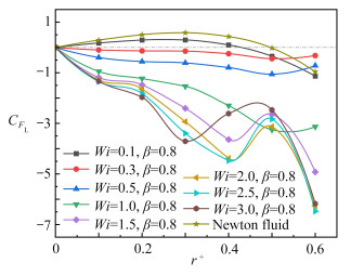
The Influence Effect of Fluid Elasticity on Particle Aggregation in Microchannels
ZHAO Kexin, WANG Qikun, KE Lingjie
2025, 46(10): 1256-1266. doi: 10.21656/1000-0887.450275
Abstract(277) HTML (145) PDF(24)
Abstract:
The relative motion model was employed for numerical simulation of particle aggregation in viscoelastic fluids, with the Oldroyd-B model to describe the viscoelastic constitutive relationship and the log-conformation reformulation for stable numerical simulation. The effects of particle aggregation characteristics on viscoelastic fluids with varying elasticities were examined. The findings show that, an increase in the Weissenberg number (Wi), coupled with a reduction in the β value of the viscoelastic fluid, could substantially enhance the fluid elasticity within the channel. Furthermore, significant fluctuations in the force experienced at the radial positions of the particles were observed. The distribution of radial forces on the particles fundamentally depends on the distribution of inertial forces, with elastic lifts fluctuations also causing inertial lift variations; thus, inertia and elasticity coexist nonlinearly. Higher Wi and lower β values enlarge the region where lift forces direct particles toward the pipe center, shifting aggregation from the wall toward the center. In addition, the strong elastic flow makes the force direction of the particles always point to the pipe center.
Solid Mechanics
Analysis and Numerical Simulation of Bird Impact Damages of 3-Side-Clamped Titanium Alloy Blades
WANG Weican, LUO Gang, ZHAO Chaojun, FAN Xingchao, CHEN Wei
2025, 46(10): 1267-1284. doi: 10.21656/1000-0887.450242
Abstract(287) HTML (176) PDF(23)
Abstract:
The damages caused by bird impacts on engine fan blades in aircraft is extremely serious. To study these damages to the blades, an experiment was conducted based on a certain type of engine fan blade clamped by fixtures on 3 sides. Then 2 groups of bird-blade impact tests were completed, and the results of blade damages were obtained. Simultaneously, the LS-DYNA software was used to numerically verify the experimental results. A 3-side-clamped blade model for bird impact was established based on the experiment to study the effects of 4 impact conditions on blade damages. The results indicate that, the effects of experimental conditions on blade damages are fundamentally due to the energy changes transmitted from the bird body to the blade. As the transmitted energy increases, the damage to the blade will change from a bulge to a crack until finally rupture. Through the study of the damages to the blade in specific impact conditions, the 3-side-clamped blade-bird impact test can effectively simulate a part of the tests on bird impacts on rotating blades.
Engineering Applications of the Arbitrary Polygon Hybrid Stress Finite Element Method
TANG Li, FANG Bohao, GUO Ran
2025, 46(10): 1285-1294. doi: 10.21656/1000-0887.460165
Abstract(337) HTML (153) PDF(25)
Abstract:
With the continuous expansion and increasing complexity of major engineering projects in China, the safety analysis of engineering structures has been increasingly dependent on numerical methods. Traditional finite element methods have certain limitations in complex geometries, such as strong mesh dependency and low calculation efficiency. The polygonal hybrid stress finite element method (PHSEM), based on the principle of minimum complementary energy and the introduced higher-order stress fields, is capable of accurately capturing stress distributions with fewer elements while improving calculation efficiency. A multi-material slope model considering gravity was established for the left-bank accumulation slope at the Xiluodu Hydropower Station, to verify the applicability and effectiveness of the PHSEM under complex geological conditions. Four representative slope cross sections were selected for stress and strain calculations, and both stress and strain contours were utilized to visually reveal the differences in force distributions and potentially dangerous zones for different sections. The results demonstrate that, the PHSEM can effectively reflect the distribution patterns of slope stresses and strains, providing a reliable basis for the slope stability evaluation, the retaining structure design, and the engineering treatment schemes. Furthermore, the findings highlight the potential of the PHSEM in analyzing complex slopes and large-scale engineering structures, offering valuable references for future numerical simulations and safety assessments of similar major projects.
Adaptive Enhanced Beluga Whale Optimization for Structural Reliability Analysis of Engineering Structures
LI Sijia, ZHONG Changting, XIN Dabo
2025, 46(10): 1295-1306. doi: 10.21656/1000-0887.450233
Abstract(342) HTML (170) PDF(16)
Abstract:
Structural reliability analysis is an important technique in the uncertainty quantification of engineering structures, while the 1st-order reliability method (FORM) is popular due to its simplicity and efficiency. However, the FORM depends on the gradient information and may fall into local convergence for high-dimensional and highly nonlinear problems. The adaptive enhanced beluga whale optimization (BWO) was proposed for structural reliability analysis. The BWO with its updating rules was utilized to control the exploitation capacity, and the intelligence level of Alibaba and the forty thieves algorithm was combined with the updating mechanism to control the exploration capacity. Moreover, the adaptive strategy was developed to balance the exploration and exploitation, and the adaptive enhanced BWO was combined with the FORM to find the global reliability index in structural reliability analysis. Finally, 3 structural reliability problems in engineering were used to validate the HABWO-FORM, compared with 6 different metaheuristic algorithms. The results indicate that, the proposed method outperforms the comparative algorithms in terms of accuracy and robustness.
Analysis of Active Earth Pressure on Circular Vertical Shafts Considering Arching Effects and Interlayer Shear Stresses
YANG Shuai, LÜ Bing, LI Dongsheng, LIU Yang, YANG Huan
2025, 46(10): 1307-1319. doi: 10.21656/1000-0887.450313
Abstract(315) HTML (147) PDF(16)
Abstract:
The active earth pressure on circular vertical shafts with non-cohesive backfill was investigated, for a slip surface assumed as a straight line through the heel of the wall. Given the linear variation of the circumferential stress coefficient along the radial direction, static equilibrium equations for the entire sliding soil mass were established with the limit equilibrium method. Then an analytical expression was formulated for the inclination angle of the slip surface in the active limit state of the circular vertical shaft. Subsequently, the spatial arching effects and interlayer shear stresses were incorporated, and the theoretical solution of the active earth pressure was derived based on the horizontal element analysis method. The factors influencing the active earth pressure were further analyzed and compared with existing theoretical and experimental results. The results indicate that, the interlayer shear force affects the distribution of the active earth pressure strength along the depth direction, and the greater of the radius to the height ratio and the wall-soil friction angle are, the more obvious the influence of the interlayer shear force will be. The calculated earth pressure value with the interlayer shear force can provide a theoretical reference for the optimization design of the shaft structure. The findings effectively describe the trend of earth pressure increasing and then decreasing with the depth and show good agreement with experimental and numerical simulation results.
Numerical Simulation of Single Hole Blasting of Rock Based on the Material Point Method
HAN Fangjian, KU Qixian, YU Haijun, QIU Yi, ZOU Ming, WANG Meng
2025, 46(10): 1320-1328. doi: 10.21656/1000-0887.450229
Abstract(293) HTML (152) PDF(14)
Abstract:
The drilling and blasting method is the main rock-breaking means in mineral resource mining, and its theoretical analysis imposes great limits on the applicable conditions. Moreover, the blasting experiments have limitations such as high costs, and difficulty in observing the cracks formed after blasting. Numerical methods have become an important supplementary means to explore the comprehensive fracture mechanism of rock explosion. A 2D material point model coupled with the generalized interpolation material point (GIMP) and the conjugate particle domain interpolation material point (CPDI), was proposed to analyze effects of the background mesh and material point discretization sizes. The results show that, the discretization sizes of the background grid and material points significantly influence the transfer of explosion energy, and the degree of damage to the rock is positively correlated with the total energy transferred from the explosive to the rock. In the simulation of the fracture failure under rock blasting load, the GIMP-type material points are suitable for simulating extreme compression deformation in explosive core areas. In contrast, the CPDI-type material points are more appropriate for simulating rock blasting damage situations. Under the action of detonation waves, the compressive stress on the borehole wall exceeds the rock compressive strength, leading to the rock crushing destruction, and a severely damaged area appearing around the borehole. The detonation wave continues to propagate and attenuate into a stress wave, and the hoop stress wave propagating along the radial direction will generate a larger tensile stress in the circumferential direction, leading to the formation of radial cracks.
Applied Mathematics
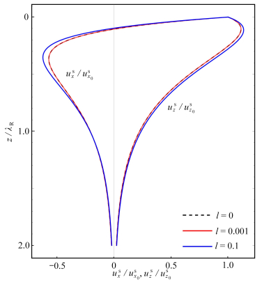
Propagation Characteristics of Rayleigh Waves in Saturated Porous Media Based on the Couple-Stress Elastic Gradient Theory
LI Guoqiang, ZHENG Pei, ZHANG Keming
2025, 46(10): 1329-1341. doi: 10.21656/1000-0887.450259
Abstract(296) HTML (144) PDF(16)
Abstract:
The propagation characteristics of Rayleigh waves in saturated pore media were investigated based on the couple-stress poroelastic gradient theory. Firstly, the fluctuation equations containing material intrinsic lengths were established based on the couple-stress theory, and the 2 sets of coupled fluctuation equations were decoupled into 4 scalar Helmholtz equations through the potential function decomposition of the displacement field to control the propagation of the P1, P2, SV and SH waves, respectively. Further, for Rayleigh waves, the specific form of the potential function was determined through solution of the eigenvalue problem of the Helmholtz equation. Then, the propagation characteristics of Rayleigh waves were solved under introduced boundary conditions. Finally, the influence rule of the material intrinsic length on the propagation characteristics of Rayleigh waves was investigated by numerical examples.
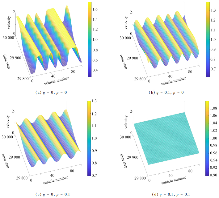
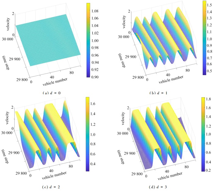
A Discrete-Time Delayed Car-Following Model Considering the Average Velocity of Multiple Autonomous Vehicles and Self-Delayed Feedback
KANG Chengjun, MIAO Hui
2025, 46(10): 1342-1353. doi: 10.21656/1000-0887.450223
Abstract(279) HTML (173) PDF(20)
Abstract:
Based on the optimal velocity car-following model and combined with the traffic information collected by autonomous vehicles through mutual communication, an improved discrete-time time-delayed car-following model was proposed to better explore the car-following performances and stability characteristics of autonomous vehicles, with the interaction information between the front autonomous vehicle and the current autonomous vehicle, and the average velocity of multiple front autonomous vehicles considered. In addition, the self-delayed velocity and the space headway control strategy was analyzed. With the control theory method and the Lyapunov stability theory, the stability condition for traffic flow was established. Furthermore, under disturbance, the spatio-temporal evolution of the autonomous vehicle flow was intuitively demonstrated through numerical simulation, to further validate the theoretical analysis and reveal the effects of the autonomous vehicles on the traffic flow stability through the information interaction between vehicles, the average velocity of multiple front vehicles, the time delay factors in the sensing process of velocity and space headway information, and the self-delayed velocity and space headway control strategy. The results show that, the information exchange between vehicles and the acquisition of the average velocity of multiple front vehicles can improve the traffic flow stability. At the same time, the self-delayed velocity and space headway control strategy can effectively improve the traffic flow stability and restrain traffic congestion. However, the time delay factor in the sensing process of velocity and space headway information is not conducive to the traffic flow stability.
Multi-Parameter Inverse Problems of the Nonlinear Phase Field Model
TIAN Yu, YANG Liu, YI Haihong
2025, 46(10): 1354-1366. doi: 10.21656/1000-0887.450160
Abstract(278) HTML (153) PDF(16)
Abstract:
The inverse problem of simultaneously inverting 2 time-independent coefficients in the nonlinear phase-field model was investigated with given terminal measurement data. Unlike the usual parabolic equations, a nonlinear parabolic system of equations was studied. Based on the optimal control framework, the inverse problem was transformed into an optimization problem. The existence and necessary condition of the minimizer for the cost functional were established. The uniqueness and stability of the minimizer were deduced from the necessary condition.
Cover And Contents
Cover And Contents
2025, 46(10)
Abstract(293) PDF(369)
Abstract: