• Scopus收录
  • CSCD来源期刊
  • 中文核心期刊

留言板

尊敬的读者、作者、审稿人, 关于本刊的投稿、审稿、编辑和出版的任何问题, 您可以本页添加留言。我们将尽快给您答复。谢谢您的支持!

姓名
邮箱
手机号码
标题
留言内容
验证码

相变材料耦合冷板电池热管理系统的优化设计

黄钦 余凌峰 陈凯

黄钦,余凌峰,陈凯. 相变材料耦合冷板电池热管理系统的优化设计 [J]. 应用数学和力学,2022,43(11):1195-1202 doi: 10.21656/1000-0887.430278
引用本文: 黄钦,余凌峰,陈凯. 相变材料耦合冷板电池热管理系统的优化设计 [J]. 应用数学和力学,2022,43(11):1195-1202 doi: 10.21656/1000-0887.430278
HUANG Qin, YU Lingfeng, CHEN Kai. Design of the Battery Thermal Management System With Phase Change Material Coupled Cold Plates[J]. Applied Mathematics and Mechanics, 2022, 43(11): 1195-1202. doi: 10.21656/1000-0887.430278
Citation: HUANG Qin, YU Lingfeng, CHEN Kai. Design of the Battery Thermal Management System With Phase Change Material Coupled Cold Plates[J]. Applied Mathematics and Mechanics, 2022, 43(11): 1195-1202. doi: 10.21656/1000-0887.430278

相变材料耦合冷板电池热管理系统的优化设计

doi: 10.21656/1000-0887.430278
基金项目: 广东省基础与应用基础研究基金(2020A1515010637);广州市科技计划(202102020563)
详细信息
    作者简介:

    黄钦(2001—),男,硕士生 (E-mail:321055625@qq.com

    陈凯(1986—),男,副研究员,博士,博士生导师 (通讯作者. E-mail:chenkaihb09@126.com

  • 中图分类号: TB34; O242.1

Design of the Battery Thermal Management System With Phase Change Material Coupled Cold Plates

  • 摘要:

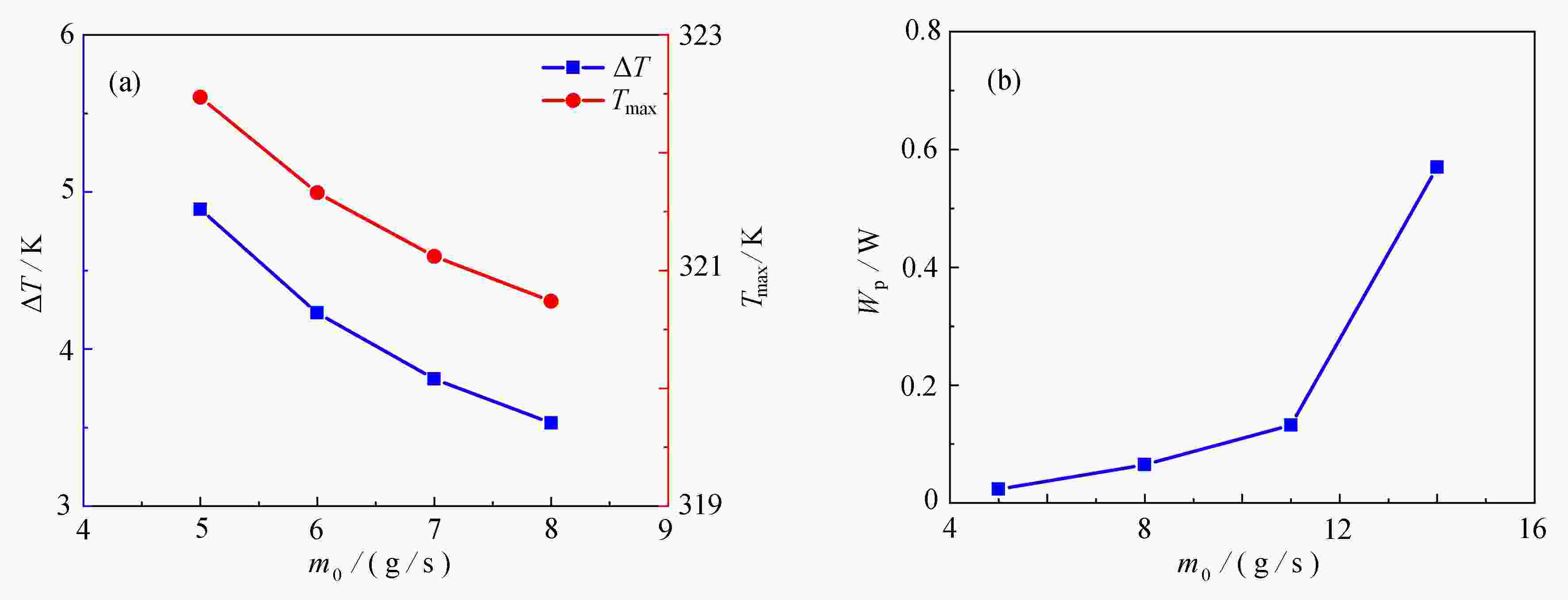
    以相变材料耦合冷板电池热管理系统为研究对象,采用数值方法研究了系统的冷却性能。结果表明,通过增加耦合系统的冷却水流量可以降低电池组温度和温差,但是显著增加了冷板功耗,系统能效较低。为了提高耦合热管理系统的冷却效率,在固定系统体积的情况下,采用优化策略对系统中相变材料的厚度分布进行调整。典型算例结果表明,优化策略仅需5步调整就能得到最佳相变材料厚度分布。相比于优化前系统,优化后的系统使电池组最高温度降低了1.1 K,温差减小了29%。在同等电池组温差下,优化系统的功耗相比优化前系统下降了64%。

  • 图  1  相变材料耦合冷板系统示意图

    Figure  1.  Schematic diagram of the PCM coupled cold plate system

    图  2  放电结束时对称面1的计算结果:(a)温度云图;(b)相变率云图

    Figure  2.  Numerical results of symmetry 1 when the discharge process is finished: (a) the temperature nephogram; (b) the liquid fraction nephogram

    图  3  系统性能指标随冷却水流量的变化关系:(a) 电池组Tmax和ΔT;(b) 系统功耗

    注 为了解释图中的颜色,读者可以参考本文的电子网页版本,后同。

    Figure  3.  System performance with the flow rate of cooling water: (a) Tmax and ΔT of the battery pack; (b) power consumption of the system

    图  4  相变材料耦合冷板系统的主视图

    Figure  4.  The main view of the PCM coupled cold plate system

    图  5  优化系统温度特性:(a)电池组Tmax和ΔT随调整次数的变化;(b)优化前后电池温度的比较

    Figure  5.  Temperature characteristics of the optimized system: (a) changes of Tmax and ΔT of the battery pack with adjustment steps; (b) battery temperatures before and after optimization

    图  6  优化系统对称面1的计算结果:(a)温度云图;(b)相变率云图

    Figure  6.  Numerical results of symmetry 1 in the optimized system: (a) the temperature nephogram; (b) the liquid fraction nephogram

    表  1  系统中各种材料物性参数

    Table  1.   Physical property parameters of various materials in the system

    propertyAlwaterPCM[19]battery[18-19]
    density ρ/(kg/m3)2702997.569502335
    specific heat cp/(J/(kg·K))9034181.723000950
    dynamic viscosity η/(kg/(m·s))8.89 × 10-4
    melting temperature T/K315.15 ~ 317.15
    latent heat Hp/(kJ/kg)141.7
    thermal conductivity λ/(W/(m·K))2370.627.6541.05, 21.1, 21.1 (kx, ky, kz)
    下载: 导出CSV
  • [1] LU L, HAN X, LI J, et al. A review on the key issues for lithium-ion battery management in electric vehicles[J]. Journal of Power Sources, 2013, 226: 272-288. doi: 10.1016/j.jpowsour.2012.10.060
    [2] SAECHAN P, DHUCHAKALLAYA I. Numerical investigation of air cooling system for a densely packed battery to enhance the cooling performance through cell arrangement strategy[J]. International Journal of Energy Research, 2021, 49(14): 20670-20684.
    [3] DING Y, WEI M, LIU R. Channel parameters for the temperature distribution of a battery thermal management system with liquid cooling[J]. Applied Thermal Engineering, 2021, 186: 116494. doi: 10.1016/j.applthermaleng.2020.116494
    [4] HUANG Y H, CHENG W L, ZHAO R. Thermal management of Li-ion battery pack with the application of flexible form-stable composite phase change materials[J]. Energy Conversion and Management, 2019, 182: 9-20. doi: 10.1016/j.enconman.2018.12.064
    [5] VUDATA S P, BHATTACHARYYA D. Thermal management of a high temperature sodium sulphur battery stack[J]. International Journal of Heat and Mass Transfer, 2021, 181: 122025. doi: 10.1016/j.ijheatmasstransfer.2021.122025
    [6] JIANG Z Y, QU Z G. Lithium-ion battery thermal management using heat pipe and phase change material during discharge-charge cycle: a comprehensive numerical study[J]. Applied Energy, 2019, 242: 378-392. doi: 10.1016/j.apenergy.2019.03.043
    [7] LING Z Y, WANG F X, FANG X M, et al. A hybrid thermal management system for lithium-ion batteries combining phase change materials with forced-air cooling[J]. Applied Energy, 2015, 148: 403-409. doi: 10.1016/j.apenergy.2015.03.080
    [8] SONG L, ZHANG H, YANG C. Thermal analysis of conjugated cooling configurations using phase change material and liquid cooling techniques for a battery module[J]. International Journal of Heat and Mass Transfer, 2019, 133: 827-841. doi: 10.1016/j.ijheatmasstransfer.2018.12.157
    [9] 喻寰. 相变材料与液冷耦合的锂电池热管理系统研究[D]. 硕士学位论文. 长沙: 湖南大学, 2019.

    YU Huan. Study on lithium battery thermal management system based on coupling of phase change materials and liquid cooling[D]. Master Thesis. Changsha: Hunan University, 2019. (in Chinese)
    [10] CAO J, LUO M, FANG X, et al. Liquid cooling with phase change materials for cylindrical Li-ion batteries: an experimental and numerical study[J]. Energy, 2020, 191: 116565. doi: 10.1016/j.energy.2019.116565
    [11] LIU Z, HUANG J, CAO M, et al. Experimental study on the thermal management of batteries based on the coupling of composite phase change materials and liquid cooling[J]. Applied Thermal Engineering, 2021, 185: 116415. doi: 10.1016/j.applthermaleng.2020.116415
    [12] BAI F, CHEN M, SONG W, et al. Thermal management performances of PCM/water cooling-plate using for lithium-ion battery module based on non-uniform internal heat source[J]. Applied Thermal Engineering, 2017, 126: 17-27. doi: 10.1016/j.applthermaleng.2017.07.141
    [13] ZHU Z, WU X, ZHANG H, et al. Multi-objective optimization of a liquid cooled battery module with collaborative heat dissipation in both axial and radial directions[J]. International Journal of Heat and Mass Transfer, 2020, 155: 119701. doi: 10.1016/j.ijheatmasstransfer.2020.119701
    [14] LI J W, ZHANG H Y. Thermal characteristics of power battery module with composite phase change material and external liquid cooling[J]. International Journal of Heat and Mass Transfer, 2020, 156: 119820. doi: 10.1016/j.ijheatmasstransfer.2020.119820
    [15] WANG R, LIANG Z, SOURI M, et al. Numerical analysis of lithium-ion battery thermal management system using phase change material assisted by liquid cooling method[J]. International Journal of Heat and Mass Transfer, 2022, 183: 122095. doi: 10.1016/j.ijheatmasstransfer.2021.122095
    [16] MOLAEIMANESH G R, MIRFALLAH N S M, DAHMARDEH M. Impact of configuration on the performance of a hybrid thermal management system including phase change material and water-cooling channels for Li-ion batteries[J]. Applied Thermal Engineering, 2020, 181: 116028. doi: 10.1016/j.applthermaleng.2020.116028
    [17] CAO J, LING Z, FANG X, et al. Delayed liquid cooling strategy with phase change material to achieve high temperature uniformity of Li-ion battery under high-rate discharge[J]. Journal of Power Sources, 2020, 450: 227673. doi: 10.1016/j.jpowsour.2019.227673
    [18] CHEN Y, CHEN K, DONG Y, et al. Bidirectional symmetrical parallel mini-channel cold plate for energy efficient cooling of large battery packs[J]. Energy, 2022, 242: 122553. doi: 10.1016/j.energy.2021.122553
    [19] CHEN K, HOU J, SONG M, et al. Design of battery thermal management system based on phase change material and heat pipe[J]. Applied Thermal Engineering, 2021, 188: 116665. doi: 10.1016/j.applthermaleng.2021.116665
    [20] CHEN K, CHEN Y, SONG M, et al. Multi-parameter structure design of parallel mini-channel cold plate for battery thermal management[J]. International Journal of Energy Research, 2020, 44(6): 4321-4334. doi: 10.1002/er.5200
    [21] 白羽, 方慧灵, 张艳. Oldroyd-B流体绕拉伸楔形体的非稳态滑移流动与传热分析[J]. 应用数学和力学, 2022, 43(3): 272-280

    BAI Yu, FANG Huiling, ZHANG Yan. Unsteady slip flow and heat transfer analysis of Oldroyd-B fluid over the stretching wedge[J]. Applied Mathematics and Mechanics, 2022, 43(3): 272-280.(in Chinese)
    [22] WU W, WU W, WANG S. Thermal management optimization of a prismatic battery with shape-stabilized phase change material[J]. International Journal of Heat and Mass Transfer, 2018, 121: 967-977. doi: 10.1016/j.ijheatmasstransfer.2018.01.062
    [23] 彭世彬, 郭瑞, 冯上升, 等. 主动冷却点阵夹层防热结构温度响应计算模型[J]. 应用数学和力学, 2022, 43(5): 477-489

    PENG Shibin, GUO Rui, FENG Shangsheng, et al. A calculation model for temperature responses of active cooling lattice sandwich structures for thermal protection[J]. Applied Mathematics and Mechanics, 2022, 43(5): 477-489.(in Chinese)
  • 加载中
图(6) / 表(1)
计量
  • 文章访问数:  1141
  • HTML全文浏览量:  479
  • PDF下载量:  95
  • 被引次数: 0
出版历程
  • 收稿日期:  2022-09-05
  • 录用日期:  2022-11-11
  • 修回日期:  2022-11-11
  • 网络出版日期:  2022-11-16
  • 刊出日期:  2022-11-01

目录

    /

    返回文章
    返回