• Scopus收录
  • CSCD来源期刊
  • 中文核心期刊

留言板

尊敬的读者、作者、审稿人, 关于本刊的投稿、审稿、编辑和出版的任何问题, 您可以本页添加留言。我们将尽快给您答复。谢谢您的支持!

姓名
邮箱
手机号码
标题
留言内容
验证码

气固两相弯管湍流场中圆柱状颗粒取向和沉积特性的研究

李亮 石瑞芳 林建忠

李亮,石瑞芳,林建忠. 气固两相弯管湍流场中圆柱状颗粒取向和沉积特性的研究 [J]. 应用数学和力学,2022,43(7):707-718 doi: 10.21656/1000-0887.420320
引用本文: 李亮,石瑞芳,林建忠. 气固两相弯管湍流场中圆柱状颗粒取向和沉积特性的研究 [J]. 应用数学和力学,2022,43(7):707-718 doi: 10.21656/1000-0887.420320
LI Liang, SHI Ruifang, LIN Jianzhong. Research on Deposition and Orientation Characteristics of Cylindrical Particles in Gas-Solid 2-Phase Turbulent Flow in Curved Tubes[J]. Applied Mathematics and Mechanics, 2022, 43(7): 707-718. doi: 10.21656/1000-0887.420320
Citation: LI Liang, SHI Ruifang, LIN Jianzhong. Research on Deposition and Orientation Characteristics of Cylindrical Particles in Gas-Solid 2-Phase Turbulent Flow in Curved Tubes[J]. Applied Mathematics and Mechanics, 2022, 43(7): 707-718. doi: 10.21656/1000-0887.420320

气固两相弯管湍流场中圆柱状颗粒取向和沉积特性的研究

doi: 10.21656/1000-0887.420320
基金项目: 湖南省科技创新计划(2020RC4029)
详细信息
    作者简介:

    李亮(1985—),男,博士生(E-mail:zlzkliang@163.com

    林建忠(1958—),男,教授,博士(通讯作者. E-mail:mecjzlin@public.zju.edu.cn

  • 中图分类号: O359

Research on Deposition and Orientation Characteristics of Cylindrical Particles in Gas-Solid 2-Phase Turbulent Flow in Curved Tubes

  • 摘要:

    针对在Reynolds数Re=3000 ~ 50000、Stokes数Stk=0.1 ~ 10、Dean数De=1400 ~ 2800的情况下,长径比β=2 ~ 12的圆柱状颗粒流经弯管湍流场时的取向与沉积特性进行了研究。圆柱状颗粒的运动采用细长体理论结合Newton第二定律进行描述,取向分布函数由Fokker-Planck方程给出,平均湍流场通过求解Reynolds平均运动方程结合Reynolds应力方程得到,作用在颗粒上的湍流脉动速度由动力学模拟扫掠模型描述。通过求解湍流场以及颗粒的运动方程和取向分布函数方程,得到并分析了沿流向不同截面和出口处颗粒的取向分布,讨论了各因素对颗粒沉积特性的影响。研究结果表明,随着Stk和颗粒长径比β的增加、DeRe的减少,颗粒的主轴更趋向于流动方向。颗粒的沉积率随着DeReStk和颗粒长径比的增大而增加,所得结论对于工程实际应用具有参考价值。

  • 图  1  弯管流场和坐标系

    Figure  1.  The flow field of the curved tube and the coordinate system

    图  2  两个坐标系

    Figure  2.  Two coordinate systems

    图  3  两颗粒碰撞示意图

    Figure  3.  Schematic of the collision between 2 particles

    图  4  平均轴向速度和轴向脉动速度均方根的分布(Re=10500, De=2460):(a) 平均轴向速度;(b) 轴向脉动速度均方根

    Figure  4.  Distributions of the mean axial velocity and the RMS value of the fluctuating axial velocity (Re=10500, De=2460): (a) the mean axial velocity; (b) the RMS value of the fluctuating axial velocity

    图  5  横截面上颗粒平均取向分布(Re=30000, Stk = 1, De=2200,β=8)

    Figure  5.  Distributions of mean orientations of particles on the cross section (Re =30000, Stk =1, De=2200,β=8)

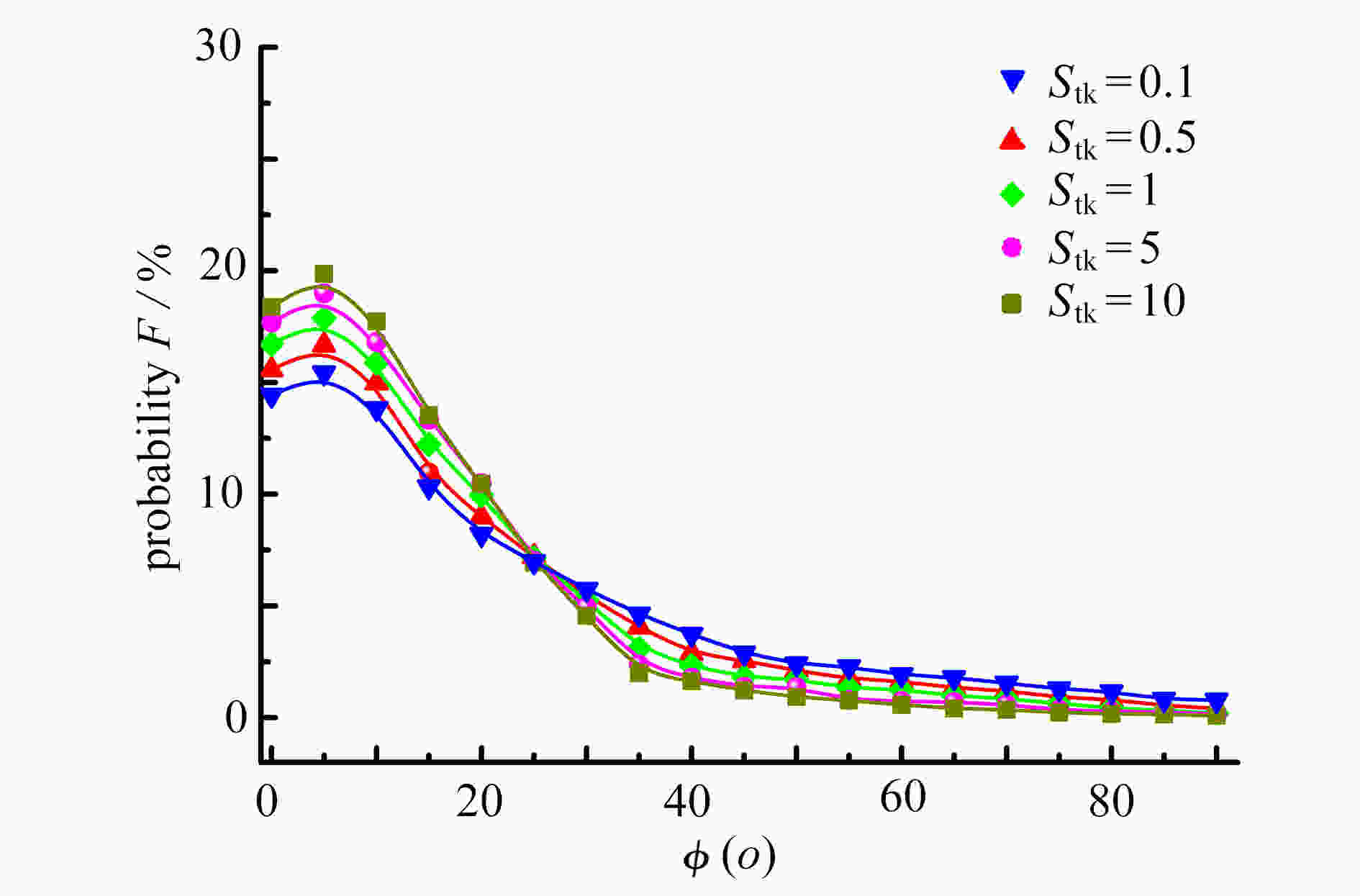
    图  6  不同Stk时,颗粒平均取向分布(Re=30000, De=2200, β=8)

    Figure  6.  Distributions of particle orientations for different Stk values (Re =30000, De =2200, β=8)

    图  7  不同De时,颗粒平均取向分布(Re =30000, Stk=1, β=8)

    Figure  7.  Distributions of particle orientations for different De values (Re=30000, Stk=1, β=8)

    图  8  不同Re时,颗粒取向分布(De=2200, Stk=1, β=8)

    Figure  8.  Distributions of particle orientations for different Re values (De=2200, Stk=1, β=8)

    图  9  不同β时,颗粒取向分布(Re=30000, De =2200, Stk=1)

    Figure  9.  Distributions of particle orientations for different β values (Re=30000, De =2200, Stk=1)

    图  10  不同Stk下的颗粒通过率(De=1862, Re=10500, β=1)

    Figure  10.  The pass ratio of particles at different Stk values (De=1862, Re=10500, β=1)

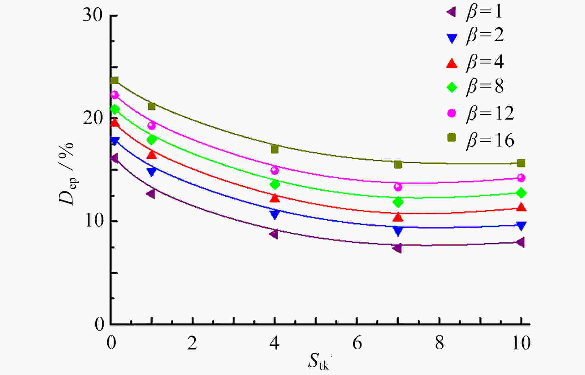
    图  11  不同颗粒长径比时沉积率与Stk的关系(Re=30000, De=2200)

    Figure  11.  The relationship between the deposition rate and Stk at different particle aspect ratios (Re=30000, De=2200)

    图  12  不同Re下沉积率与Stk的关系(De=2200, β=8)

    Figure  12.  The relationship between the deposition rate and Stk at different Re values (De =2200, β=8)

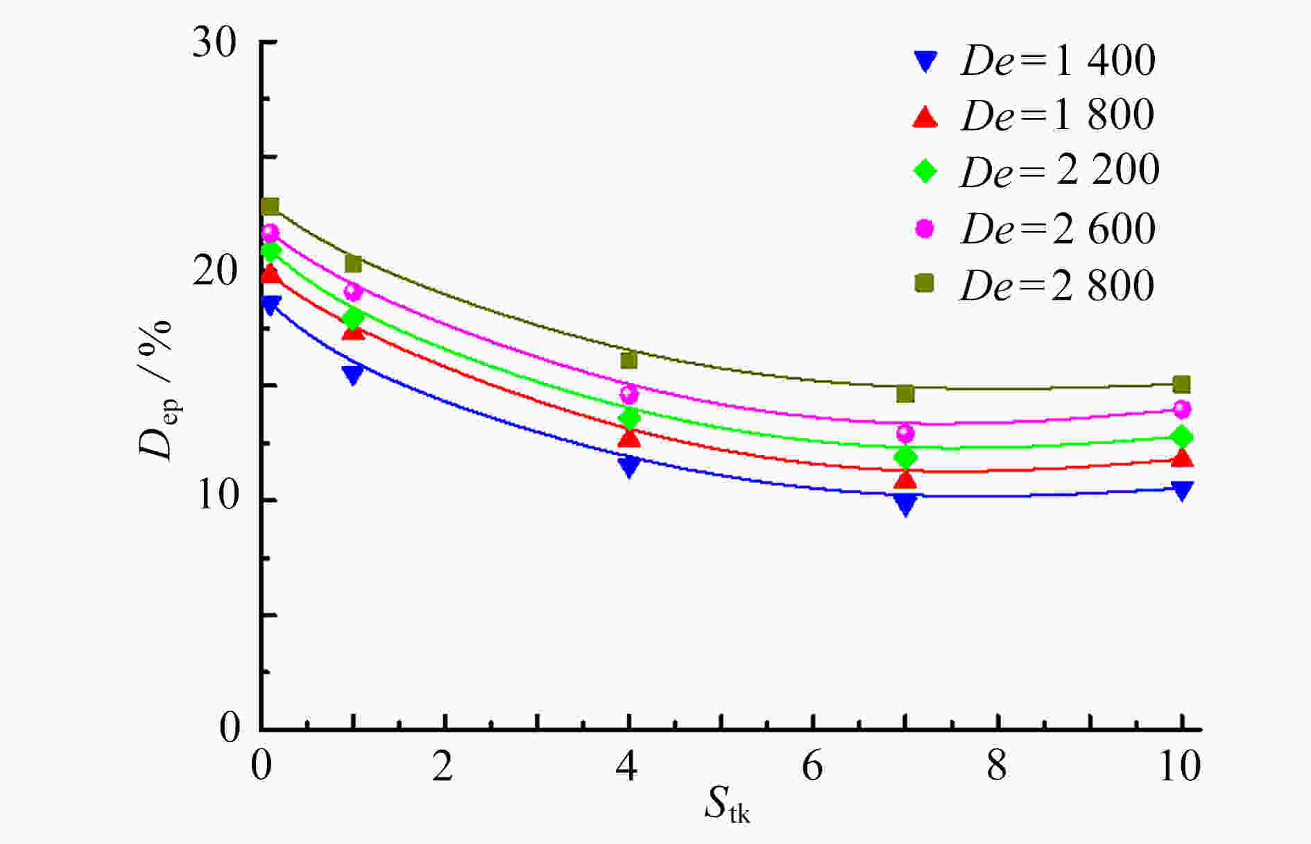
    图  13  不同De下沉积率与Stk的关系(Re =30000, β=8)

    Figure  13.  The relationship between the deposition rate and Stk at different De values (Re =30000, β=8)

  • [1] AKSHAT T M, MISRA S, GUDIYAWAR M Y, et al. Effect of electrospun nanofiber deposition on thermo-physiology of functional clothing[J]. Fibers and Polymers, 2019, 20(5): 991-1002. doi: 10.1007/s12221-019-9100-z
    [2] TIAN L, AHMADI G, WANG Z C, et al. Transport and deposition of ellipsoidal particles in low Reynolds number flows[J]. Journal of Aerosol Science, 2012, 45: 1-18. doi: 10.1016/j.jaerosci.2011.09.001
    [3] TU C X, YIN Z Q, LIN J Z, et al. A review of experimental techniques for measuring micro- to nano-particle-laden gas flows[J]. Applied Sciences, 2017, 7(2). DOI: 10.3390/app7020120.
    [4] SUN L, LIN J Z, BAO F B. Numerical simulation on the deposition of nanoparticles under laminar conditions[J]. Journal of Hydrodynamics, 2006, 18(6): 676-680. doi: 10.1016/S1001-6058(07)60006-7
    [5] PHARES D J, SHARMA G. A DNS study of aerosol deposition in a turbulent square duct flow[J]. Aerosol Science and Technology, 2006, 40(11): 1016-1024. doi: 10.1080/02786820600919416
    [6] ARMAND P, BOULAUD D, POURPRIX M, et al. Two-fluid modeling of aerosol transport in laminar and turbulent flows[J]. Journal of Aerosol Science, 1998, 29(8): 961-983. doi: 10.1016/S0021-8502(98)00006-8
    [7] 罗万清, 李海燕, 梁剑寒. 基于Euler-Lagrange模型的电弧风洞喷管两相流模拟[J]. 应用数学和力学, 2020, 41(1): 16-26. (LUO Wanqing, LI Haiyan, LIANG Jianhan. Simulation of 2-phase flow in the nozzle of the arc heated wind tunnel based on the Eulerian-Lagrange model[J]. Applied Mathematics and Mechanics, 2020, 41(1): 16-26.(in Chinese)

    LUO Wanqing, LI Haiyan, LIANG Jianhan. Simulation of 2-phase flow in the nozzle of the arc heated wind tunnel based on the Eulerian-Lagrange model[J]. Applied Mathematics and Mechanics, 2020, 41(1): 16-26. (in Chinese))
    [8] LIN J Z, YIN Z Q, GAN F J, et al. Penetration efficiency and distribution of aerosol particles in turbulent pipe flow undergoing coagulation and breakage[J]. International Journal of Multiphase Flow, 2014, 61: 28-36. doi: 10.1016/j.ijmultiphaseflow.2013.12.001
    [9] PUI D Y H, ROMAY-NOVAS F, LIU B Y H. Experimental study of particle deposition in bends of circular cross section[J]. Aerosol Science and Technology, 1987, 7(3): 301-315. doi: 10.1080/02786828708959166
    [10] BALÁSHÁZY I, MARTONEN T B, HOFMANN W. Inertial impaction and gravitational deposition of aerosols in curved tubes and airway bifurcations[J]. Aerosol Science and Technology, 1990, 13(3): 308-321. doi: 10.1080/02786829008959447
    [11] LEE K W, GIESEKE J A. Deposition of particles in turbulent flow pipes[J]. Journal of Aerosol Science, 2006, 25(4): 699-709.
    [12] SATO S, CHEN D R, PUI D Y H. Particle transport at low pressure: deposition in bends of a circular cross-section[J]. Aerosol Science and Technology, 2003, 37: 770-779. doi: 10.1080/02786820300911
    [13] WANG J, FLAGAN R C, SEINFELD J H. Diffusional losses in particle sampling systems containing bends and elbows[J]. Journal of Aerosol Science, 2002, 33(6): 843-857. doi: 10.1016/S0021-8502(02)00042-3
    [14] YOOK S J, PUI D Y H. Experimental study of nanoparticle penetration efficiency through coils of circular cross-sections[J]. Aerosol Science and Technology, 2006, 40(6): 456-462. doi: 10.1080/02786820600660895
    [15] LIN J Z, LIN P F, CHEN H J. Research on the transport and deposition of nanoparticles in a rotating curved pipe[J]. Physics of Fluid, 2009, 21(12): 122001. doi: 10.1063/1.3264110
    [16] WILSON S R, LIU Y A, MATIDA E A, et al. Aerosol deposition measurements as a function of Reynolds number for turbulent flow in a ninety-degree pipe bend[J]. Aerosol Science and Technology, 2011, 45(3): 364-375. doi: 10.1080/02786826.2010.538092
    [17] GHAFFARPASAND O, DREWNICK F, HOSSEINIEBALAM F, et al. Penetration efficiency of nanometer-sized aerosol particles in tubes under turbulent flow conditions[J]. Journal of Aerosol Science, 2012, 50: 11-25. doi: 10.1016/j.jaerosci.2012.03.002
    [18] LIN J Z, YIN Z Q, LIN P F, et al. Distribution and penetration efficiency of nanoparticles between 8~550 nm in pipe bends under laminar and turbulent flow conditions[J]. International Journal of Heat and Mass Transfer, 2015, 85: 61-70. doi: 10.1016/j.ijheatmasstransfer.2015.01.033
    [19] BATCHELOR G K. Slender-body theory for particles of arbitrary cross-section in Stokes flow[J]. Journal of Fluid Mechanics, 1970, 44(3): 419-440. doi: 10.1017/S002211207000191X
    [20] MACKAPLOW M B, SHAQFEH E S G. A numerical study of the sedimentation of fiber suspension[J]. Journal of Fluid Mechanics, 1988, 376(1): 149-182.
    [21] MICHAELIDES E E. Brownian movement and thermophoresis of nanoparticles in liquids[J]. International Journal of Heat and Mass Transfer, 2015, 81: 179-187. doi: 10.1016/j.ijheatmasstransfer.2014.10.019
    [22] LEAL L G, HINCH E J. The effect of weak Brownian rotations on particles in shear flow[J]. Journal of Fluid Mechanics, 1971, 46: 685-703. doi: 10.1017/S0022112071000788
    [23] 高振宇, 林建忠, 李俊. 纤维悬浮剪切湍流中纤维旋转扩散系数的理论研究[J]. 应用数学和力学, 2007, 28(3): 263-269. (GAO Zhenyu, LIN Jianzhong, LI Jun. Theoretical research on the rotational dispersion coefficient of fiber in the turbulent shear flow of fiber suspension[J]. Applied Mathematics and Mechanics, 2007, 28(3): 263-269.(in Chinese) doi: 10.3321/j.issn:1000-0887.2007.03.002

    GAO Zhenyu, LIN Jianzhong, LI Jun. Theoretical research on the rotational dispersion coefficient of fiber in the turbulent shear flow of fiber suspension[J]. Applied Mathematics and Mechanics, 2007, 28(3): 263-269. (in Chinese)) doi: 10.3321/j.issn:1000-0887.2007.03.002
    [24] CHEN S B, JIANG L. Orientation distribution in a dilute suspension of fibers subject to simple shear flow[J]. Physics of Fluid, 1999, 11(10): 2878-2890. doi: 10.1063/1.870146
    [25] LIEN F S, LESCHZINER M A. Assessment of turbulence-transport models including non-linear RNG eddy-viscosity formulation and second-moment closure for flow over a backward-facing step[J]. Computers and Fluids, 1994, 23(8): 983-1004. doi: 10.1016/0045-7930(94)90001-9
    [26] LAUNDER B E. Second-moment closure and its use in modeling turbulent industrial flows[J]. International Journal for Numerical Methods in Fluids, 1989, 9(8): 963-985. doi: 10.1002/fld.1650090806
    [27] LAUNDER B E. Second-moment closure: present and future[J]. International Journal of Heat and Fluid Flow, 1989, 10(4): 282-300. doi: 10.1016/0142-727X(89)90017-9
    [28] FUNG J C H, HUNT J C R, MALIK N A, et al. Kinematic simulation of homogeneous turbulence by unsteady random Fourier modes[J]. Journal of Fluid Mechanics, 1992, 236: 281-318. doi: 10.1017/S0022112092001423
    [29] WANG L P, STOCK D E. Numerical simulation of heavy particle dispersion-scale ration and flow decay considerations[J]. Journal of Fluids Engineering, 1994, 116(1): 154-163. doi: 10.1115/1.2910224
    [30] DONG S, FENG X, SALCUDEAN M, et al. Concentration of pulp fibers in 3D turbulent channel flow[J]. International Journal of Multiphase Flow, 2003, 29(1): 1-21. doi: 10.1016/S0301-9322(02)00128-3
    [31] WEBSTER D R, HUMPHREY J A C. Experimental observations of flow instability in a helical coil[J]. Journal of Fluids Engineering, 1993, 115(3): 436-443. doi: 10.1115/1.2910157
    [32] KRUSHKAL E M, GALLILY I. On the orientation distribution function of nonspherical aerosol particles in a general shear flow, Ⅱ: the turbulent case[J]. Journal of Aerosol Science, 1988, 19(2): 197-211. doi: 10.1016/0021-8502(88)90223-6
    [33] PODGÓRSKI A, GRADOŃ L, GRZYBOWSKI P. Theoretical-study on deposition of flexible and stiff fibrous aerosol-particles on a cylindrical collector[J]. Chemical Engineering Journal and the Biochemical Engineering Journal, 1995, 58(2): 109-121. doi: 10.1016/0923-0467(95)02975-3
  • 加载中
图(13)
计量
  • 文章访问数:  1117
  • HTML全文浏览量:  535
  • PDF下载量:  126
  • 被引次数: 0
出版历程
  • 收稿日期:  2021-10-25
  • 修回日期:  2022-01-09
  • 刊出日期:  2022-07-15

目录

    /

    返回文章
    返回