Volume 47 Issue 3
Mar.  2026
Turn off MathJax
Article Contents
JIA Cheng, XING Haoran, WANG Qiang, YANG Baoshan, MA Yue, LI Mingqiang, LIU Huyang, WANG Leiheng, DAI Huliang. Nonlinear Dynamics and Vibration Suppression of L-Shaped Pipes Conveying 2-Phase Flow[J]. Applied Mathematics and Mechanics, 2026, 47(3): 263-272. doi: 10.21656/1000-0887.460098
Citation: JIA Cheng, XING Haoran, WANG Qiang, YANG Baoshan, MA Yue, LI Mingqiang, LIU Huyang, WANG Leiheng, DAI Huliang. Nonlinear Dynamics and Vibration Suppression of L-Shaped Pipes Conveying 2-Phase Flow[J]. Applied Mathematics and Mechanics, 2026, 47(3): 263-272. doi: 10.21656/1000-0887.460098

Nonlinear Dynamics and Vibration Suppression of L-Shaped Pipes Conveying 2-Phase Flow

doi: 10.21656/1000-0887.460098
  • Received Date: 2025-05-16
  • Rev Recd Date: 2025-06-17
  • Publish Date: 2026-03-01
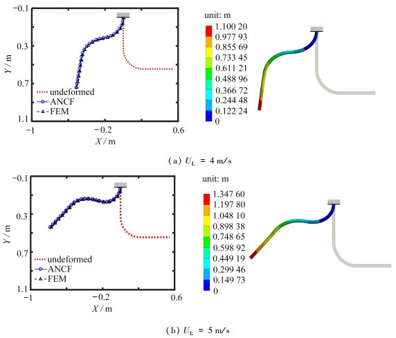
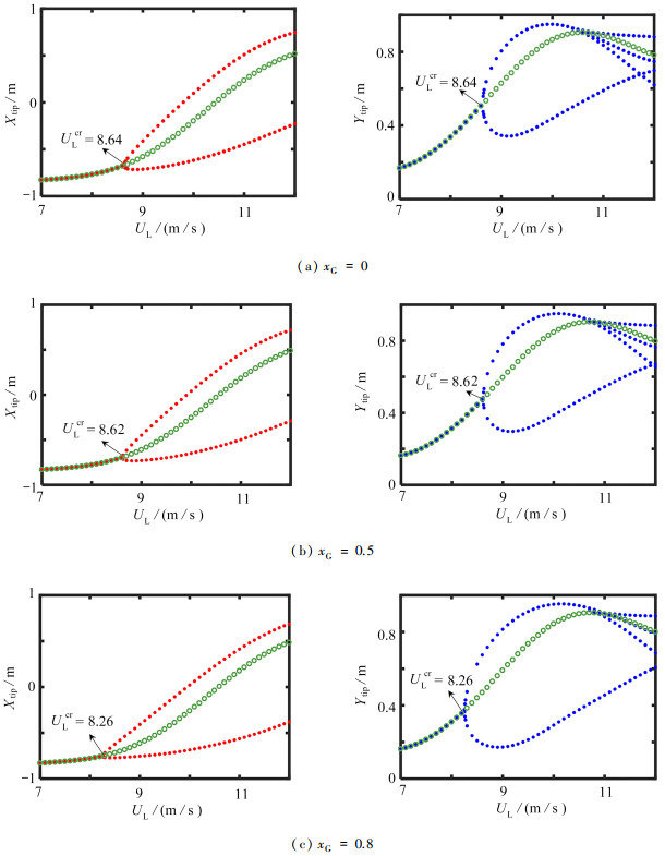
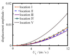
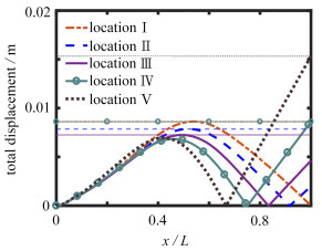
  • Based on the Euler-Lagrange equations, the absolute nodal coordinate formulation (ANCF) was employed to establish a nonlinear dynamic model for cantilevered L-shaped pipes conveying 2-phase flow. The characteristics of uniformly bubbly 2-phase flow were considered. Firstly, the static deformation results from the theoretical model were compared and validated against the finite element method (FEM), and the effects of the gas volume fraction on pipe static deformation and stability were analyzed. Then, the nonlinear dynamic behaviors of the pipe were studied for different void fractions, with a focus on the effects of void fractions on bifurcation characteristics. Finally, an optimal support design is proposed to suppress pipe vibrations, and minimize both the displacement and strain amplitudes of the L-shaped pipe.
  • (Contributed by DAI Huliang, M.AMM Youth Editorial Board)
  • loading
  • [1]
    PAÏDOUSSIS M P, SEMLER C. Non-linear dynamics of a fluid-conveying cantilevered pipe with a small mass attached at the free end[J]. International Journal of Non-Linear Mechanics, 1998, 33(1): 15-32. doi: 10.1016/S0020-7462(97)00002-4
    [2]
    LIU Z Y, WANG L, SUN X P. Nonlinearforced vibration of cantilevered pipes conveying fluid[J]. Acta Mechanica Solida Sinica, 2018, 31(1): 32-50. doi: 10.1007/s10338-018-0011-0
    [3]
    易浩然, 周坤, 代胡亮, 等. 含集中质量悬臂输流管的稳定性与模态演化特性研究[J]. 力学学报, 2020, 52(6): 1800-1810.

    YI Haoran, ZHOU Kun, DAI Huliang, et al. Stability and mode evolution characteristics of a cantilevered fluid-conveying pipe attached with the lumped mass[J]. Chinese Journal of Theoretical and Applied Mechanics, 2020, 52(6): 1800-1810. (in Chinese)
    [4]
    ZHOU K, NI Q, WANG L, et al. Planar and non-planar vibrations of a fluid-conveying cantilevered pipe subjected to axial base excitation[J]. Nonlinear Dynamics, 2020, 99(4): 2527-2549. doi: 10.1007/s11071-020-05474-0
    [5]
    张宇飞, 王昊. 基础激励作用下悬臂输流管的振动实验研究[J]. 动力学与控制学报, 2022, 20(3): 50-55.

    ZHANG Yufei, WANG Hao. Experimental study on vibration of cantilever pipe conveying fluid under fundamental excitation[J]. Journal of Dynamics and Control, 2022, 20(3): 50-55. (in Chinese)
    [6]
    颜雄, 魏莎, 毛晓晔, 等. 两端弹性支承输流管道固有特性研究[J]. 力学学报, 2022, 54(5): 1341-1352.

    YAN Xiong, WEI Sha, MAO Xiaoye, et al. Study on natural characteristics of fluid-conveying pipes with elastic supports at both ends[J]. Chinese Journal of Theoretical and Applied Mechanics, 2022, 54(5): 1341-1352. (in Chinese)
    [7]
    PAÏDOUSSIS M P. Pipes conveying fluid: a fertile dynamics problem[J]. Journal of Fluids and Structures, 2022, 114: 103664. doi: 10.1016/j.jfluidstructs.2022.103664
    [8]
    徐朝阳, 孟英峰, 魏纳, 等. 一维气液两相漂移模型的AUSMV算法研究[J]. 应用数学和力学, 2014, 35(12): 1373-1382. doi: 10.3879/j.issn.1000-0887.2014.12.009

    XU Chaoyang, MENG Yingfeng, WEI Na, et al. Research on the AUSMV scheme for 1D gas-liquid two-phase flow drift flux models[J]. Applied Mathematics and Mechanics, 2014, 35(12): 1373-1382. (in Chinese) doi: 10.3879/j.issn.1000-0887.2014.12.009
    [9]
    赵桂欣, 孟帅, 车驰东, 等. 解释自由端含集中质量悬臂输流管固有频率计算悖论[J]. 振动与冲击, 2023, 42(7): 18-24.

    ZHAO Guixin, MENG Shuai, CHE Chidong, et al. Explanation for paradox in natural frequency calculation of cantilever fluid-conveying pipe system with an end-mass[J]. Journal of Vibration and Shock, 2023, 42(7): 18-24. (in Chinese)
    [10]
    刘伟, 万志勇, 赵千里. 具有弹性支承的周期性输流直管的振动分析[J]. 噪声与振动控制, 2024, 44(5): 69-74.

    LIU Wei, WAN Zhiyong, ZHAO Qianli. Vibration analysis of periodic pipe of fluid conveying with elastic supports[J]. Noise and Vibration Control, 2024, 44(5): 69-74. (in Chinese)
    [11]
    TANG Y, ZHANG H J, CHEN L Q, et al. Recent progress on dynamics and control of pipes conveying fluid[J]. Nonlinear Dynamics, 2025, 113(7): 6253-6315. doi: 10.1007/s11071-024-10486-1
    [12]
    SHARMA H, DAS G, SAMANTA A N. ANN-based prediction of two-phase gas-liquid flow patterns in a circular conduit[J]. AIChE Journal, 2006, 52(9): 3018-3028. doi: 10.1002/aic.10922
    [13]
    MONETTE C, PETTIGREW M J. Fluidelastic instability of flexible tubes subjected to two-phase internal flow[J]. Journal of Fluids and Structures, 2004, 19(7): 943-956. doi: 10.1016/j.jfluidstructs.2004.06.003
    [14]
    PONTE P J V, RITTO T G, DEV J F. Dynamic analysis of a pipe conveying a two-phase fluid considering uncertainties in the flow parameters[J]. Journal of the Brazilian Society of Mechanical Sciences and Engineering, 2020, 42(12): 626. doi: 10.1007/s40430-020-02710-x
    [15]
    庞明军, 牛瑞鹏, 陆敏杰. 壁面效应对剪切稀化流体内气泡上浮特性的影响[J]. 应用数学和力学, 2020, 41(2): 143-155. doi: 10.21656/1000-0887.400194

    PANG Mingjun, NIU Ruipeng, LU Minjie. Wall effects on floating characteristics of bubbles in shear-thinning fluids[J]. Applied Mathematics and Mechanics, 2020, 41(2): 143-155. (in Chinese) doi: 10.21656/1000-0887.400194
    [16]
    GREGORY R W, PAÏDOUSSIS M P. Unstable oscillation of tubular cantilevers conveying fluid Ⅰ: theory[J]. Proceedings of the Royal Society of London (Series A), 1966, 293(1435): 512-527.
    [17]
    GREGORY R W, PAÏDOUSSIS M P. Unstable oscillation of tubular cantilevers conveying fluid Ⅱ: experiments[J]. Proceedings of the Royal Society of London (Series A), 1966, 293(1435): 528-542.
    [18]
    IRSCHIK H, HOLL H J. The equations of Lagrange written for a non-material volume[J]. Acta Mechanica, 2002, 153: 231-248. doi: 10.1007/BF01177454
  • 加载中

Catalog

    通讯作者: 陈斌, bchen63@163.com
    • 1. 

      沈阳化工大学材料科学与工程学院 沈阳 110142

    1. 本站搜索
    2. 百度学术搜索
    3. 万方数据库搜索
    4. CNKI搜索

    Figures(7)

    Article Metrics

    Article views (165) PDF downloads(118) Cited by()
    Proportional views
    Related

    /

    DownLoad:  Full-Size Img  PowerPoint
    Return
    Return