Volume 47 Issue 3
Mar.  2026
Turn off MathJax
Article Contents
YAN Sen, YUE Baozeng, MA Bole. Coupling Dynamics Research of Large Complex Rigid-Liquid-Flexible Spacecrafts[J]. Applied Mathematics and Mechanics, 2026, 47(3): 273-287. doi: 10.21656/1000-0887.460040
Citation: YAN Sen, YUE Baozeng, MA Bole. Coupling Dynamics Research of Large Complex Rigid-Liquid-Flexible Spacecrafts[J]. Applied Mathematics and Mechanics, 2026, 47(3): 273-287. doi: 10.21656/1000-0887.460040

Coupling Dynamics Research of Large Complex Rigid-Liquid-Flexible Spacecrafts

doi: 10.21656/1000-0887.460040
  • Received Date: 2025-03-03
  • Rev Recd Date: 2025-12-16
  • Publish Date: 2026-03-01
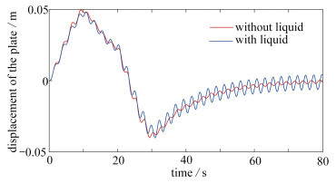
  • To accomplish long-duration and complex orbit flight missions, next-generation spacecrafts need to carry large flexible structures and high-capacity liquid fuel tanks. The nonlinear coupling problems between rigid body motion, liquid sloshing, and flexible structure vibrations become particularly significant during spacecraft maneuvering and control processes. A dynamic model for rigid-liquid-flexible coupling systems was presented, to first calculate the vibration of the flexible structure with the Kirchhoff-Love plate theory and the finite element methods. Then the flow theory was employed to model liquid fuel sloshing, and finally the overall dynamic model for the coupling system was derived with the Lagrange method. The study reveals the coupling dynamic interactions between rigid body motion, liquid sloshing, and flexible structure vibrations. The proposed modeling approach for rigid-liquid-flexible coupling spacecrafts was validated by comparison with published experimental and analytical results. The coupling analysis of complex, liquid-filled spacecrafts with large, flexible structures shows that, the finite element method can accurately capture the dynamic responses of high-frequency modes of the flexible structures. Additionally, due to the low-frequency characteristics of these large and complex space structures, the coupling effects with liquid fuel sloshing become even more pronounced.
  • loading
  • [1]
    苗楠, 李俊峰, 王天舒. 横向激励下液体大幅晃动建模分析[J]. 宇航学报, 2016, 37(3): 268-274.

    MIAO Nan, LI Junfeng, WANG Tianshu. Modeling analysis of large-amplitude liquid sloshing under lateral excitation[J]. Journal of Astronautics, 2016, 37(3): 268-274. (in Chinese)
    [2]
    RATTAYYA J. Sloshing of liquids in axisymmetric ellipsoidal tanks[C]//2 nd Aerospace Sciences Meeting. New York: AIAA, 1965: AIAA1965-114.
    [3]
    ABRAMSON H N. Dynamics of contained liquids: a personal odyssey[J]. Applied Mechanics Reviews, 2003, 56(1): R1-R7. doi: 10.1115/1.1511517
    [4]
    DODGE F T. The New "Dynamic Behavior of Liquids in Moving Containers"[M]. San Antonio, TX: Southwest Research Institute, 2000.
    [5]
    BAUER H F, EIDEL W. Linear liquid oscillations in cylindrical container under zero-gravity[J]. Applied Microgravity Technology, 1990, 2: 212-220.
    [6]
    BAUER H F, EIDEL W. Small amplitude liquid oscillations in a rectangular container under zero-gravity[J]. The Aeronautical Journal, 1989, 93(930): 379-386. doi: 10.1017/S000192400002220X
    [7]
    CHIBA M, WATANABE H, BAUER H F. Hydroelastic coupled vibrations in a cylindrical container with a membrane bottom, containing liquid with surface tension[J]. Journal of Sound and Vibration, 2002, 251(4): 717-740. doi: 10.1006/jsvi.2001.3986
    [8]
    IBRAHIM R A. Liquid Sloshing Dynamics: Theory and Applications[M]. Cambridge University Press, 2005.
    [9]
    LU Y, YUE B, MA B, et al. A universal nonlinear equivalent model and its stability analysis for large amplitude liquid sloshing in rotationally symmetric tanks[J]. Nonlinear Dynamics, 2025, 113(7): 6031-6047. doi: 10.1007/s11071-024-10439-8
    [10]
    PARMAN S, KOGUCHI H. Rest-to-rest attitude naneuvers and residual vibration reduction of a finite element model of flexible satellite by using input shaper[J]. Shock and Vibration, 1999, 6(1): 11-27. doi: 10.1155/1999/702162
    [11]
    刘锦阳, 洪嘉振. 刚-柔耦合动力学系统的建模理论研究[J]. 力学学报, 2002, 34(3): 408-415.

    LIU Jinyang, HONG Jiazhen. Study on dynamic modeling theory ofrigid-flexible coupling systems[J]. Acta Mechanica Sinica, 2002, 34(3): 408-415. (in Chinese)
    [12]
    杨辉, 洪嘉振, 余征跃. 刚柔耦合建模理论的实验验证[J]. 力学学报, 2003, 35(2): 253-256.

    YANG Hui, HONG Jiazhen, YU Zhengyue. Experiment validation on modeling theory for rigid-flexible coupling systems[J]. Acta Mechanica Sinica, 2003, 35(2): 253-256. (in Chinese)
    [13]
    陈思佳, 章定国, 洪嘉振. 大变形旋转柔性梁的一种高次刚柔耦合动力学模型[J]. 力学学报, 2013, 45(2): 251-256.

    CHEN Sijia, ZHANG Dingguo, HONG Jiazhen. A dynamic model of high-order rigid-flexible coupling of large-deformation rotating flexible beam[J]. Chinese Journal of Theoretical and Applied Mechanics, 2013, 45(2): 251-256. (in Chinese)
    [14]
    章孝顺, 章定国, 洪嘉振. 考虑曲率纵向变形效应的大变形柔性梁刚柔耦合动力学建模与仿真[J]. 力学学报, 2016, 48(3): 692-701.

    ZHANG Xiaoshun, ZHANG Dingguo, HONG Jiazhen. Rigid-flexible coupling dynamic modeling and simulation with the longitudinal deformation induced curvature effect for a rotating flexible beam under large deformation[J]. Chinese Journal of Theoretical and Applied Mechanics, 2016, 48(3): 692-701. (in Chinese)
    [15]
    王森林, 李进宝, 马红艳, 等. 基于辛叠加方法的正交各向异性矩形悬臂薄板受迫振动解析解[J]. 应用数学和力学, 2024, 45(9): 1117-1132. doi: 10.21656/1000-0887.440277

    WANG Senlin, LI Jinbao, MA Hongyan, et al. Analytical forced vibration solutions of orthotropic cantilever rectangular thin plates with the symplectic superposition method[J]. Applied Mathematics and Mechanics, 2024, 45(9): 1117-1132. (in Chinese) doi: 10.21656/1000-0887.440277
    [16]
    DENG M, YUE B. Nonlinear model and attitude dynamics of flexible spacecraft with large amplitude slosh[J]. Acta Astronautica, 2017, 133: 111-120. doi: 10.1016/j.actaastro.2017.01.003
    [17]
    LIU F, YUE B, ZHAO L. Attitude dynamics and control of spacecraft with a partially filled liquid tank and flexible panels[J]. Acta Astronautica, 2018, 143: 327-336. doi: 10.1016/j.actaastro.2017.11.036
    [18]
    LIU F, YUE B, BANERJEE A K, et al. Large motion dynamics of in-orbit flexible spacecraft with large-amplitude propellant slosh[J]. Journal of Guidance, Control, and Dynamics, 2020, 43(3): 438-450. doi: 10.2514/1.G004685
    [19]
    陈呈, 刘翔. 薄膜天线航天器刚-柔-热耦合动力学建模与复合控制研究[J]. 应用数学和力学, 2025, 46(3): 283-297. doi: 10.21656/1000-0887.450094

    CHEN Cheng, LIU Xiang. Rigid-flexible-thermal coupling dynamic modeling and hybrid control of membrane antenna spacecraft[J]. Applied Mathematics and Mechanics, 2025, 46(3): 283-297. (in Chinese) doi: 10.21656/1000-0887.450094
    [20]
    易中贵, 岳宝增, 刘峰, 等. 刚-液耦合航天器系统的Hamilton结构及稳定性分析[J]. 应用数学和力学, 2023, 44(5): 499-512. doi: 10.21656/1000-0887.430379

    YI Zhonggui, YUE Baozeng, LIU Feng, et al. Hamiltonian structures and stability analysis for rigid-liquid coupled spacecraft systems[J]. Applied Mathematics and Mechanics, 2023, 44(5): 499-512. (in Chinese) doi: 10.21656/1000-0887.430379
    [21]
    JIN Z, TIANSHU W. Coupled attitude-orbit control of flexible solar sail for displaced solar orbit[J]. Journal of Spacecraft and Rockets, 2013, 50(3): 675-685. doi: 10.2514/1.A32369
    [22]
    LI Q, MA X, WANG T, et al. Reduced model for flexible solar sail dynamics[J]. Journal of Spacecraft and Rockets, 2011, 48(3): 446-453. doi: 10.2514/1.48789
    [23]
    顾伟, 张博, 丁虎, 等. 2∶1内共振条件下变转速预变形叶片的非线性动力学响应[J]. 力学学报, 2020, 52(4): 1131-1142.

    GU Wei, ZHANG Bo, DING Hu, et al. Nonlinear dynamic response of pre-deformed blade with variable rotational speed under 2∶1 internal resonance[J]. Chinese Journal of Theoretical and Applied Mechanics, 2020, 52(4): 1131-1142. (in Chinese)
    [24]
    张军徽, 崔洋洋, 佟安. 条带式太阳帆的结构动力学分析[J]. 力学学报, 2019, 51(1): 237-244.

    ZHANG Junhui, CUI Yangyang, TONG An. Structural dynamic and stability analysis of a stripped solar sail[J]. Chinese Journal of Theoretical and Applied Mechanics, 2019, 51(1): 237-244. (in Chinese)
    [25]
    PAN K Q, LIU J Y. Investigation on the choice of boundary conditions and shape functions for flexible multi-body system[J]. Acta Mechanica Sinica, 2012, 28(1): 180-189. doi: 10.1007/s10409-011-0527-8
    [26]
    闫玉龙, 申云峰, 岳宝增. 含板类柔性附件的充液航天器动力学研究[J]. 宇航学报, 2020, 41(5): 531-540.

    YAN Yulong, SHEN Yunfeng, YUE Baozeng. Research on dynamics of liquid-filled spacecraft carrying plate-type flexible appendages[J]. Journal of Astronautics, 2020, 41(5): 531-540. (in Chinese)
    [27]
    STOREY J M, KIRK D R, GUTIERREZ H, et al. Experimental, numerical and analytical characterization of slosh dynamics applied to in-space propellant storage and management[C]//51 st AIAA/SAE/ASEE Joint Propulsion Conference. Orlando, FL: AIAA, 2015: AIAA2015-4077.
  • 加载中

Catalog

    通讯作者: 陈斌, bchen63@163.com
    • 1. 

      沈阳化工大学材料科学与工程学院 沈阳 110142

    1. 本站搜索
    2. 百度学术搜索
    3. 万方数据库搜索
    4. CNKI搜索

    Figures(19)  / Tables(4)

    Article Metrics

    Article views (137) PDF downloads(20) Cited by()
    Proportional views
    Related

    /

    DownLoad:  Full-Size Img  PowerPoint
    Return
    Return