Volume 47 Issue 3
Mar.  2026
Turn off MathJax
Article Contents
GUO Li, LI Xiujie, SUN Shu, ZHANG Youyi, XIAO Xiaoming, LI Xu, YANG Yaodong. Study on Aging and Life Prediction of Fluoroether Lubricating Grease for Spacecraft[J]. Applied Mathematics and Mechanics, 2026, 47(3): 381-390. doi: 10.21656/1000-0887.460025
Citation: GUO Li, LI Xiujie, SUN Shu, ZHANG Youyi, XIAO Xiaoming, LI Xu, YANG Yaodong. Study on Aging and Life Prediction of Fluoroether Lubricating Grease for Spacecraft[J]. Applied Mathematics and Mechanics, 2026, 47(3): 381-390. doi: 10.21656/1000-0887.460025

Study on Aging and Life Prediction of Fluoroether Lubricating Grease for Spacecraft

doi: 10.21656/1000-0887.460025
  • Received Date: 2025-02-17
  • Rev Recd Date: 2025-03-23
  • Publish Date: 2026-03-01
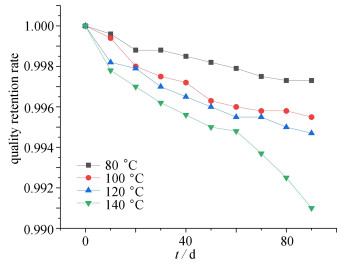
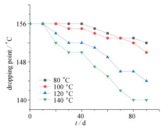
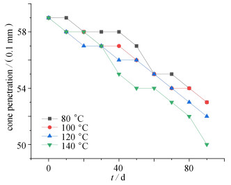
  • The lubricating grease degradation and aging performance is critical to the reliability of spacecraft deployment mechanisms, moving components, and other related products. Limited research has been conducted on the effects of grease aging on performance and lifespan prediction, with insufficient theoretical support for the application of long-life lubricating grease in spacecraft. The quality change rate was selected as the key performance for aging failure, a time temperature equivalent model based on the quality retention rate of lubricating grease was obtained by means of the Arrhenius equation and the time temperature relationship, which can predict the quality change of lubricating grease under various storage conditions. Key parameters such as the droplet point and the cone penetration were monitored to evaluate the lubricating grease aging performance. The results show that, aging has a significant impact on the droplet point and the cone penetration performance, with a 1% loss rate of the lubricating grease mass indicating a predicted lifespan of 5.4 a at the failure point. In addition, a 4-ball friction test was used to study the lubricating grease friction performance on bearing steel GCr15 under different loads. The test indicate that aging significantly influences the lubricating grease friction coefficient and the wear zone diameter under high loads. The research results and methods provide a basis for understanding the lubricating grease degradation and aging performance, and predicting its lifespan.
  • (Recommended by TIAN Kuo, M.AMM Youth Editorial Board)
  • loading
  • [1]
    郑会, 周巍峰, 崔佩娟, 等. 长寿命低挥发性润滑脂的性能研究[J]. 石油炼制与化工, 2024, 55(7): 111-118.

    ZHENG Hui, ZHOU Weifeng, CUI Peijuan, et al. Investigation on the performance of long-life and low-volatile lubricating grease[J]. Petroleum Processing and Petrochemicals, 2024, 55(7): 111-118. (in Chinese)
    [2]
    PEI Z, XU M, CAO J, et al. Analysis of the microcharacteristics of different kinds of asphalt based on different aging conditions[J]. Materials and Structures, 2022, 55(10): 250. doi: 10.1617/s11527-022-02088-3
    [3]
    PENG C, GUO C, YOU Z, et al. The effect of waste engine oil and waste polyethylene on UV aging resistance of asphalt[J]. Polymers (Basel), 2020, 12(3): 602. doi: 10.3390/polym12030602
    [4]
    JING R, VARVERI A, LIU X, et al. Ageing effect on chemo-mechanics of bitumen[J]. Road Materials and Pavement Design, 2021, 22(5): 1044-1059. doi: 10.1080/14680629.2019.1661275
    [5]
    YANG J, ZHU X, YUAN Y, et al. Effects of aging on micromechanical properties of asphalt binder using AFM[J]. Journal of Materials in Civil Engineering, 2020, 32(5): 04020081.1-04020081.11. doi: 10.1061/(ASCE)MT.1943-5533.0003030
    [6]
    TIAN X, LI G, LU X, et al. Study on the short-term aging behavior of asphalt based on PCA and LSM analysis[J]. Journal of Materials in Civil Engineering, 2022, 34(8): 04022181.1-04022181.12.
    [7]
    廖宇, 钟贵勇, 舒茂盛, 等. 激光增材制造金属材料疲劳寿命研究[J]. 应用数学和力学, 2023, 44(2): 201-208.

    LIAO Yu, ZHONG Guiyong, SHU Maosheng, et al. A study on the fatigue life of the laser additive manufactured metallic material[J]. Applied Mathematics and Mechanics, 2023, 44(2): 201-208. (in Chinese)
    [8]
    范志庚, 万强, 牛红攀, 等. 计及时变演化特征的硅泡沫垫层非线性黏弹性模型研究[J]. 应用数学和力学, 2024, 45(2): 167-174.

    FAN Zhigeng, WAN Qiang, NIU Hongpan, et al. A nonlinear viscoelastic model for silicon rubber foam cushion considering time-varying evolution characteristics[J]. Applied Mathematics and Mechanics, 2024, 45(2): 167-174. (in Chinese)
    [9]
    张凯, 傅强, 黄渝鸿, 等. 润滑油贮存寿命的预测[J]. 机械工程材料, 2005, 29(10): 44-45.

    ZHANG Kai, FU Qiang, HUANG Yuhong, et al. Prediction of shelf-life of lubricating oils[J]. Materials for Mechanical Engineering, 2005, 29(10): 44-45. (in Chinese)
    [10]
    朱廷彬. 润滑脂技术大全[M]. 北京: 中国石化出版社, 2009: 57-69.

    ZHU Tingbin. Complete Collection of Lubricating Greases Technology[M]. Beijing: China Petrochemical Press, 2009: 57-69. (in Chinese)
    [11]
    李芝华, 邬花元, 任冬燕, 等. 高温润滑脂的研究进展[J]. 材料导报, 2004, 18(1): 53-56.

    LI Zhihua, WU Huayuan, REN Dongyan, et al. Recent progress in research on high temperature lubricant greases[J]. Materials Review, 2004, 18(1): 53-56. (in Chinese)
    [12]
    郭太勤, 蒋明俊, 郭小川, 等. 高温润滑脂的发展现状[J]. 润滑与密封, 2006(1): 164-167.

    GUO Taiqin, JIANG Mingjun, GUO Xiaochuan, et al. Advancement of high temperature grease[J]. Lubrication Engineering, 2006(1): 164-167. (in Chinese)
    [13]
    郑会, 周巍峰, 崔佩娟, 等. 长寿命低挥发性润滑脂的性能研究[J]. 石油炼制与化工, 2024, 55(7): 111-118.

    ZHENG Hui, ZHOU Weifeng, CUI Peijuan, et al. Investigation on the performance of long-life and low-volatile lubricating grease[J]. Petroleum Processing and Petrochemicals, 2024, 55(7): 111-118. (in Chinese)
    [14]
    白传航. 润滑脂的组成和性能评价[J]. 合成润滑材料, 2004, 31(1): 35-41.

    BAI Chuanhang. Ingredients and performance evaluation of grease[J]. Synthetic Lubricants, 2004, 31(1): 35-41. (in Chinese)
    [15]
    张澄清, 李庆德. 润滑脂应用指南[M]. 北京: 中国石化出版社, 1993: 327-329.

    ZHANG Chengqing, LI Qingde. Lubricating Grease Application Guide[M]. Beijing: China Petrochemical Press, 1993: 327-329. (in Chinese)
    [16]
    王汝霖. 润滑剂摩擦化学[M]. 北京: 中国石化出版社, 1994: 25-30.

    WANG Rulin. Lubricant Tribochemistry[M]. Beijing: China Petrochemical Press, 1994: 25-30. (in Chinese)
    [17]
    关子杰. 润滑油与设备故障诊断技术[M]. 北京: 中国石化出版社, 2007: 37-38.

    GUAN Zijie. Lubricating Oil and Equipment Fault Diagnosis Technology[M]. Beijing: China Petrochemical Press, 2007: 37-38. (in Chinese)
    [18]
    杨保利, 吕敏. 密封润滑脂应用性能试验研究[J]. 润滑与密封, 2000, 25(1): 35-37.

    YANG Baoli, LV Ming. Application property tests on sealing grease[J]. Lubrication Engineering, 2000, 25(1): 35-37. (in Chinese)
    [19]
    李倩, 辛虎, 曹春兰. 改善轴承温升的氟醚润滑脂的制备[J]. 合成润滑材料, 2020, 47(3): 18-20.

    LI Qian, XIN Hu, CAO Chunlan. Preparation of fluoroether grease to improve bearing temperature rise[J]. Synthetic Lubricants, 2020, 47(3): 18-20. (in Chinese)
    [20]
    张新兰, 陈风波, 王姝瑛, 等. 轴承用有机硅润滑脂贮存寿命评估[J]. 润滑与密封, 2020, 45(6): 125-128.

    ZHANG Xinlan, CHEN Fengbo, WANG Shuying, et al. Evaluation on shelf life of organosilicon grease for bearings[J]. Lubrication Engineering, 2020, 45(6): 125-128. (in Chinese)
    [21]
    王川, 蒋明俊, 郭小川, 等. 复合钛基润滑脂静态热老化性能的研究[J]. 石油炼制与化工, 2020, 51(3): 73-79.

    WANG Chuan, JIANG Mingjun, GUO Xiaochuan, et al. Study on static thermal aging properties of titanium complex grease[J]. Petroleum Processing and Petrochemicals, 2020, 51(3): 73-79. (in Chinese)
    [22]
    李秀荣, 潘家保, 王玲娟, 等. 静态热老化对润滑脂皂纤维缠结及恢复性能的影响[J]. 润滑与密封, 2016, 41(12): 93-97.

    LI Xiurong, PAN Jiabao, WANG Lingjuan, et al. Effect of static thermal ageing on fibrous entanglement and reversibility of lubricating greases[J]. Lubrication Engineering, 2016, 41(12): 93-97. (in Chinese)
    [23]
    黄振雄, 胡萍, 郭阳, 等. 膨润土-复合铝基润滑脂的老化分析[J]. 石油化工, 2018, 47(7): 696-701.

    HUANG Zhenxiong, HU Ping, GUO Yang, et al. Aging analysis of bentonite-composite aluminum base lubricating grease[J]. Petrochemical Technology, 2018, 47(7): 696-701. (in Chinese)
    [24]
    王德岩, 单慧军. 润滑脂剩余使用寿命的评定技术[J]. 合成润滑材料, 2005, 32(1): 22-24.

    WANG Deyan, SHAN Huijun. Elevation technique of remaining useful life of grease[J]. Synthetic Lubricants, 2005, 32(1): 22-24. (in Chinese)
    [25]
    李海波, 张正平, 胡彦平. 加速寿命试验方法及其在航天产品中的应用[J]. 强度与环境, 2007, 34(1): 2-10.

    LI Haibo, ZHANG Zhengping, HU Yanping. Accelerated life testing method and its applications for space products[J]. Structure & Environment Engineering, 2007, 34(1): 2-10. (in Chinese)
    [26]
    周堃, 胡滨, 王津梅, 等. 阿伦尼乌斯公式在弹箭贮存寿命评估中的应用[J]. 装备环境工程, 2011, 8(4): 1-4.

    ZHOU Kun, HU Bin, WANG Jinmei, et al. Application of Arrhenius equation in storage life evaluation of ammunition[J]. Equipment Environmental Engineering, 2011, 8(4): 1-4. (in Chinese))
  • 加载中

Catalog

    通讯作者: 陈斌, bchen63@163.com
    • 1. 

      沈阳化工大学材料科学与工程学院 沈阳 110142

    1. 本站搜索
    2. 百度学术搜索
    3. 万方数据库搜索
    4. CNKI搜索

    Figures(11)  / Tables(4)

    Article Metrics

    Article views (157) PDF downloads(24) Cited by()
    Proportional views
    Related

    /

    DownLoad:  Full-Size Img  PowerPoint
    Return
    Return