Volume 47 Issue 3
Mar.  2026
Turn off MathJax
Article Contents
LIU Jinpeng, FENG Shengjie, ZHANG Wenbo, LIU Zixiong. Numerical Study on Dispersion Characteristics of Droplets Impacting on a Single Fiber[J]. Applied Mathematics and Mechanics, 2026, 47(3): 329-339. doi: 10.21656/1000-0887.460022
Citation: LIU Jinpeng, FENG Shengjie, ZHANG Wenbo, LIU Zixiong. Numerical Study on Dispersion Characteristics of Droplets Impacting on a Single Fiber[J]. Applied Mathematics and Mechanics, 2026, 47(3): 329-339. doi: 10.21656/1000-0887.460022

Numerical Study on Dispersion Characteristics of Droplets Impacting on a Single Fiber

doi: 10.21656/1000-0887.460022
  • Received Date: 2025-02-06
  • Rev Recd Date: 2025-04-02
  • Publish Date: 2026-03-01
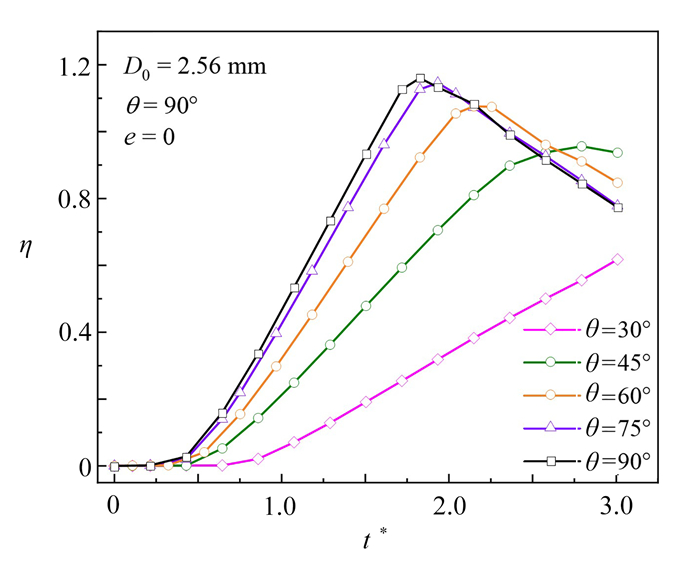
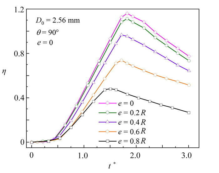
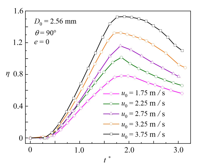
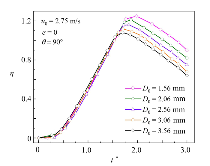
  • The high-gravity reactor, renowned for its superior mass transfer efficiency, plays a pivotal role in carbon capture processes. The wire mesh packing serves as the primary structural element enhancing mass transfer. To fully comprehend the dispersion mechanism, it is essential to investigate the dynamics of droplets impacting on a single fiber. The volume of fluid method was employed to numerically examine the interaction between a droplet and a fiber. The effects of factors such as the initial velocity (u0), the initial diameter (D0), the impact eccentricity (e), and the impact angle (θ) on droplet deformation and dispersion characteristics were analyzed in detail. Vertical or central impacts were divided into 4 key stages: splitting, merging, stretching, and breaking. In contrast, eccentric and non-vertical impacts exhibit asynchronous breaking, sliding splitting, and oblique deformation stages. To quantitatively assess the post-impact dispersion characteristics, the dimensionless time (t*) and the gas-liquid interfacial area growth rate (η) were introduced. The results indicate that, increasing the initial velocity, reducing the droplet diameter, minimizing the eccentric distance, and maximizing the impact angle all enhance dispersion. A correlation was established to predict the maximum increase rate in gas-liquid interfacial area.
  • loading
  • [1]
    梁佳, 高明, 陈露, 等. 基于格子Boltzmann方法的液滴撞击具有不同润湿性孔板的研究[J]. 应用数学和力学, 2022, 43(1): 63-76. doi: 10.21656/1000-0887.420076

    LIANG Jia, GAO Ming, CHEN Lu, et al. Study on droplets impacting on orifice plates with different wettabilities based on the lattice Boltzmann method[J]. Applied Mathematics and Mechanics, 2022, 43(1): 63-76. (in Chinese) doi: 10.21656/1000-0887.420076
    [2]
    马小晶, 周鑫, 吐松江· 卡日, 等. 乙醇液滴撞击高温壁面蒸发过程的模拟预测研究[J]. 应用数学和力学, 2023, 44(5): 535-542. doi: 10.21656/1000-0887.430139

    MA Xiaojing, ZHOU Xin, TUSONGJIANG Kari, et al. Simulation and prediction of the evaporation process of ethanol droplets impacting high temperature wall[J]. Applied Mathematics and Mechanics, 2023, 44(5): 535-542. (in Chinese) doi: 10.21656/1000-0887.430139
    [3]
    李家宇, 曾忠, 乔龙. 相场方法模拟液滴的动态润湿行为[J]. 应用数学和力学, 2019, 40(9): 957-967. doi: 10.21656/1000-0887.400129

    LI Jiayu, ZENG Zhong, QIAO Long. Numerical simulation of droplets' dynamic wetting process with the phase field method[J]. Applied Mathematics and Mechanics, 2019, 40(9): 957-967. (in Chinese) doi: 10.21656/1000-0887.400129
    [4]
    崔静, 岳茂昌, 牛书鑫, 等. 水滴撞击倾斜非Newton除冰液液膜动力学行为特性数值研究[J]. 应用数学和力学, 2024, 45(3): 337-347.

    CUI Jing, YUE Maochang, NIU Shuxin, YANG Guangfeng. Numerical study on dynamic behavior characteristics of water droplets hitting inclined non-newtonian deicing liquid films[J]. Applied Mathematics and Mechanics, 2024, 45(3): 337-347. (in Chinese)
    [5]
    朱红钧, 李英媚, 陈俊文, 等. "双碳" 目标下中国石油企业绿色减碳路径[J]. 天然气工业, 2024, 44(4): 180-189.

    ZHU Hongjun, LI Yingmei, CHEN Junwen, et al. Carbon reduction paths for Chinese oil companies under the carbon peaking and carbon neutrality goals[J]. Natural Gas Industry, 2024, 44(4): 180-189. (in Chinese)
    [6]
    ZHANG L, SONG Y, SHI J, et al. Frontiers of CO2 capture and utilization (CCU) towards carbon neutrality[J]. Advances in Atmospheric Sciences, 2022, 39(8): 1252-1270. doi: 10.1007/s00376-022-1467-x
    [7]
    SHUKLA C, MISHRA P, DASH S K. A review of process intensified CO2 capture in RPB for sustainability and contribution to industrial net zero[J]. Frontiers in Energy Research, 2023, 11: 1135188. doi: 10.3389/fenrg.2023.1135188
    [8]
    ZHANG W, XIE P, LI Y, et al. Hydrodynamic characteristics and mass transfer performance of rotating packed bed for CO2 removal by chemical absorption: a review[J]. Journal of Natural Gas Science and Engineering, 2020, 79: 103373. doi: 10.1016/j.jngse.2020.103373
    [9]
    ZAHIR A, KUMAR P, SAPTORO A, et al. Prediction and optimization of liquid dispersion of monoethanolamine in a rotating packed bed for CO2 absorption[J]. Chemical Engineering Research and Design, 2023, 199: 252-267. doi: 10.1016/j.cherd.2023.09.031
    [10]
    HUNG L S, YAO S C. Experimental investigation of the impaction of water droplets on cylindrical objects[J]. International Journal of Multiphase Flow, 1999, 25(8): 1545-1559. doi: 10.1016/S0301-9322(98)00085-8
    [11]
    LORENCEAU É, CLANET C, QUÉRÉ D. Capturing drops with a thin fiber[J]. Journal of Colloid and Interface Science, 2004, 279(1): 192-197. doi: 10.1016/j.jcis.2004.06.054
    [12]
    KHALILI M, YAHYAZADEH H, GORJI-BANDPY M, et al. Application of volume of fluid method for simulation of a droplet impacting a fiber[J]. Propulsion and Power Research, 2016, 5(2): 123-133. doi: 10.1016/j.jppr.2016.04.003
    [13]
    KIM S G, KIM W. Drop impact on a fiber[J]. Physics of Fluids, 2016, 28(4): 042001. doi: 10.1063/1.4945103
    [14]
    LORENCEAU É, CLANET C, QUÉRÉ D, et al. Off-centre impact on a horizontal fibre[J]. The European Physical Journal Special Topics, 2009, 166(1): 3-6. doi: 10.1140/epjst/e2009-00868-0
    [15]
    PIROIRD K, CLANET C, LORENCEAU É, et al. Drops impacting inclined fibers[J]. Journal of Colloid and Interface Science, 2009, 334(1): 70-74. doi: 10.1016/j.jcis.2009.03.004
    [16]
    WANG C, WU X, ZHANG H, et al. A many-body dissipative particle dynamics study of eccentric droplets impacting inclined fiber[J]. Physics of Fluids, 2021, 33(4): 042001. doi: 10.1063/5.0044065
    [17]
    COMTET J, KESHAVARZ B, BUSH J W M. Drop impact and capture on a thin flexible fiber[J]. Soft Matter, 2016, 12(1): 149-156. doi: 10.1039/C5SM02037A
    [18]
    DRESSAIRE E, SAURET A, BOULOGNE F, et al. Drop impact on a flexible fiber[J]. Soft Matter, 2016, 12(1): 200-208. doi: 10.1039/C5SM02246K
    [19]
    ZHU P, WANG W, CHEN X, et al. Experimental study of drop impact on a thin fiber[J]. Physics of Fluids, 2019, 31(10): 107102. doi: 10.1063/1.5116845
    [20]
    LIU X, WANG K, FANG Y, et al. Study of the surface wettability effect on dynamic characteristics of droplet impacting a tube with different curvature ratios[J]. Experimental Thermal and Fluid Science, 2020, 115: 110060. doi: 10.1016/j.expthermflusci.2020.110060
    [21]
    WANG Y. Numerical study of a droplet impact on cylindrical objects: towards the anti-icing property of power transmission lines[J]. Applied Surface Science, 2020, 516: 146155. doi: 10.1016/j.apsusc.2020.146155
    [22]
    XIE C, SHI J, LUO Y, et al. Mesoscale simulation investigation of droplet impacting behaviors on cylindrical surfaces[J]. Chemical Engineering Science, 2023, 277: 118848. doi: 10.1016/j.ces.2023.118848
    [23]
    LIU Z H, LI Y B, SU M J, et al. Dispersion phenomena of liquid droplet impacting on the single fiber with different wettabilities[J]. Chemical Engineering Science, 2022, 248: 117169. doi: 10.1016/j.ces.2021.117169
  • 加载中

Catalog

    通讯作者: 陈斌, bchen63@163.com
    • 1. 

      沈阳化工大学材料科学与工程学院 沈阳 110142

    1. 本站搜索
    2. 百度学术搜索
    3. 万方数据库搜索
    4. CNKI搜索

    Figures(13)

    Article Metrics

    Article views (166) PDF downloads(27) Cited by()
    Proportional views
    Related

    /

    DownLoad:  Full-Size Img  PowerPoint
    Return
    Return