Volume 47 Issue 3
Mar.  2026
Turn off MathJax
Article Contents
LIU Xinyu, WU Zhilin, LIU Guanting. Surface Effect on s Nano-Cracks Emanating From Electrically Semi-Permeable Regular n-Polygon Nano-Hole[J]. Applied Mathematics and Mechanics, 2026, 47(3): 340-353. doi: 10.21656/1000-0887.450328
Citation: LIU Xinyu, WU Zhilin, LIU Guanting. Surface Effect on s Nano-Cracks Emanating From Electrically Semi-Permeable Regular n-Polygon Nano-Hole[J]. Applied Mathematics and Mechanics, 2026, 47(3): 340-353. doi: 10.21656/1000-0887.450328

Surface Effect on s Nano-Cracks Emanating From Electrically Semi-Permeable Regular n-Polygon Nano-Hole

doi: 10.21656/1000-0887.450328
  • Received Date: 2024-12-12
  • Rev Recd Date: 2025-04-02
  • Publish Date: 2026-03-01
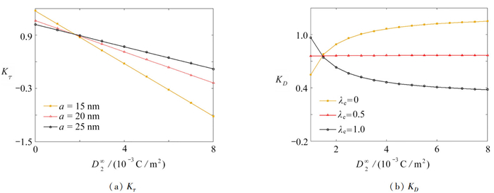
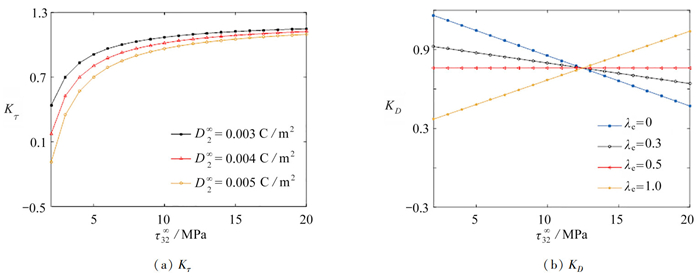
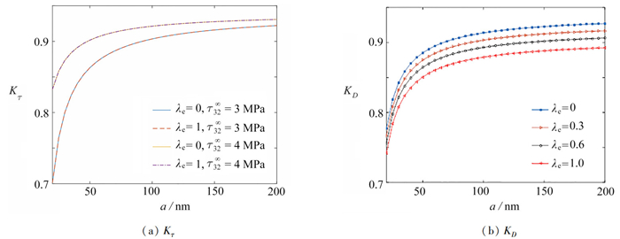
  • The fracture behaviors of electrically semi-permeable regular n-polygon nano-holes with surface effects under far-field anti-plane mechanical loading and in-plane electric loading, were investigated. Based on the Gurtin-Murdoch surface model theory, the conformal mapping technique was adopted to analytically solve the stress and electric displacement fields, to obtain the analytical solutions for the stress intensity factor (SIF) and the electric displacement intensity factor (EDIF) at the crack tip. A new conformal mapping was constructed, from the exterior of s nano-cracks emanating from the regular n-polygon nano-hole to the interior of the circular nano-hole. The results indicate that, both the SIF and the EDIF are influenced by the coupling of far-field mechanical and electric loadings. Additionally, the smaller the side length of the regular n-polygon is, the more prominent the surface effect will be.
  • loading
  • [1]
    CHEN Y D, FENG Q, ZHENG Y R, et al. Formation of hole-edge cracks in a combustor liner of an aero engine[J]. Engineering Failure Analysis, 2015, 55: 148-156. doi: 10.1016/j.engfailanal.2015.05.018
    [2]
    BOLJANOVIĆ S, MAKSIMOVIĆ S, DJURIĆ M. Fatigue strength assessment of initial semi-elliptical cracks located at a hole[J]. International Journal of Fatigue, 2016, 92: 548-556. doi: 10.1016/j.ijfatigue.2016.04.011
    [3]
    CHAVES V, BERETTA G, NAVARRO A. Biaxial fatigue limits and crack directions for stainless steel specimens with circular holes[J]. Engineering Fracture Mechanics, 2017, 174: 139-154. doi: 10.1016/j.engfracmech.2016.11.022
    [4]
    WANG Y J, GAO C F. The mode Ⅲ cracks originating from the edge of a circular hole in a piezoelectric solid[J]. International Journal of Solids and Structures, 2008, 45(16): 4590-4599. doi: 10.1016/j.ijsolstr.2008.04.001
    [5]
    GUO J H, LU Z X, HAN H T, et al. The behavior of two non-symmetrical permeable cracks emanating from an elliptical hole in a piezoelectric solid[J]. European Journal of Mechanics-A, 2010, 29(4): 654-663. doi: 10.1016/j.euromechsol.2010.01.001
    [6]
    GUO J H, LU Z X, HAN H T, et al. Exact solutions for anti-plane problem of two asymmetrical edge cracks emanating from an elliptical hole in a piezoelectric material[J]. International Journal of Solids and Structures, 2009, 46(21): 3799-3809. doi: 10.1016/j.ijsolstr.2009.07.002
    [7]
    GUO J H, LU Z X, FENG X. The fracture behavior of multiple cracks emanating from a circular hole in piezoelectric materials[J]. Acta Mechanica, 2010, 215(1): 119-134.
    [8]
    ROGOWSKI B. The mode Ⅲ cracks emanating from an elliptical hole in the piezo-electro-magneto-elastic materials[J]. Archive of Applied Mechanics, 2011, 81(11): 1607-1620. doi: 10.1007/s00419-010-0505-9
    [9]
    WANG Y, GAO C. The anti-plane solution for the cracked equilateral triangle hole in transverse isotropic piezoelectric materials[J]. Chinese Journal of Applied Mechanics, 2015, 32: 973-978.
    [10]
    ZHU Q Y, JIANG J Y. Complex variable functional solution of stress intensity factors for multiple hole-edge cracks[J]. Journal of Mechanical Strength, 2020, 42(2): 437-442.
    [11]
    WANG W H, GUO J H, XING Y M. Anti-plane problem analysis of edge crack emanating from regular triangle hole with smooth vertices in piezoelectroelastic solid[J]. Acta Mater Compos Sinica, 2015, 32(2): 601-607.
    [12]
    FAN S W, GUO J H. One-dimensional hexagonal piezoelectric quasi-crystalline triangular hole-edge crack inverse plane problem[J]. Chinese Journal of Applied Mechanics, 2016, 33(3): 421-426.
    [13]
    FAN S, GUO J H, YU J. Anti-plane problem of four edge cracks emanating from a square hole in piezoelectric solids[J]. Chinese Journal of Aeronautics, 2017, 30(1): 461-468. doi: 10.1016/j.cja.2016.08.018
    [14]
    YANG J, ZHOU Y T, MA H L, et al. The fracture behavior of two asymmetrical limited permeable cracks emanating from an elliptical hole in one-dimensional hexagonal quasicrystals with piezoelectric effect[J]. International Journal of Solids and Structures, 2017, 108: 175-185. doi: 10.1016/j.ijsolstr.2016.12.012
    [15]
    GURTIN M E, IAN MURDOCH A. A continuum theory of elastic material surfaces[J]. Archive for Rational Mechanics and Analysis, 1975, 57(4): 291-323. doi: 10.1007/BF00261375
    [16]
    GURTIN M E, IAN MURDOCH A. Surface stress in solids[J]. International Journal of Solids and Structures, 1978, 14(6): 431-440. doi: 10.1016/0020-7683(78)90008-2
    [17]
    GURTIN M E, WEISSMVLLER J, LARCHÉ F. A general theory of curved deformable interfaces in solids at equilibrium[J]. Philosophical Magazine A, 1998, 78(5): 1093-1109. doi: 10.1080/01418619808239977
    [18]
    LUO J, WANG X. On the anti-plane shear of an elliptic nano inhomogeneity[J]. European Journal of Mechanics-A, 2009, 28(5): 926-934. doi: 10.1016/j.euromechsol.2009.04.001
    [19]
    LIM C W, LI Z R, HE L H. Size dependent, non-uniform elastic field inside a nano-scale spherical inclusion due to interface stress[J]. International Journal of Solids and Structures, 2006, 43(17): 5055-5065. doi: 10.1016/j.ijsolstr.2005.08.007
    [20]
    HE L H, LI Z R. Impact of surface stress on stress concentration[J]. International Journal of Solids and Structures, 2006, 43(20): 6208-6219. doi: 10.1016/j.ijsolstr.2005.05.041
    [21]
    FU X, WANG G. Surface effects on elastic fields around surface defects[J]. Acta Mechanica Solida Sinica, 2010, 23(3): 248-254. doi: 10.1016/S0894-9166(10)60027-4
    [22]
    XU J Y, DONG C Y. Surface and interface stress effects on the interaction of nano-inclusions and nano-cracks in an infinite domain under anti-plane shear[J]. International Journal of Mechanical Sciences, 2016, 111/112 : 12-23. doi: 10.1016/j.ijmecsci.2016.03.018
    [23]
    XIAO J, XU Y, ZHANG F. Fracture characteristics of a cracked equilateral triangle hole with surface effect in piezoelectric materials[J]. Theoretical and Applied Fracture Mechanics, 2018, 96: 476-482. doi: 10.1016/j.tafmec.2018.06.012
    [24]
    GUO J, LI X. Surface effects on an electrically permeable elliptical nano-hole or nano-crack in piezoelectric materials under anti-plane shear[J]. Acta Mechanica, 2018, 229(10): 4251-4266. doi: 10.1007/s00707-018-2232-1
    [25]
    CHEN Y, GUO J. Effective property of piezoelectric composites containing coated nano-elliptical fibers with interfacial debonding[J]. Applied Mathematics and Mechanics, 2022, 43(11): 1701-1716. doi: 10.1007/s10483-022-2918-9
    [26]
    GUO J, HE L, LIU Y, et al. Anti-plane analysis of a reinforced nano-elliptical cavity or nano-crack in a magnetoelectroelastic matrix with surface effect[J]. Theoretical and Applied Fracture Mechanics, 2020, 107: 102553. doi: 10.1016/j.tafmec.2020.102553
    [27]
    LIU Y, GUO J, ZHANG X. Surface effect on a nano-elliptical hole or nano-crack in magnetoelectroelastic materials under antiplane shear[J]. ZAMM-Journal of Applied Mathematics and Mechanics, 2019, 99(7): e201900043. doi: 10.1002/zamm.201900043
    [28]
    YANG D, LIU G. Antiplane fracture problem of three nanocracks emanating from an electrically permeable hexagonal nanohole in one-dimensional hexagonal piezoelectric quasicrystals[J]. Mathematical Problems in Engineering, 2020, 2020: 1372474.
    [29]
    YANG D, LIU G. Anti-plane problem of nano-cracks emanating from a regular hexagonal nano-hole in one-dimensional hexagonal piezoelectric quasicrystals[J]. Chinese Physics B, 2020, 29(10): 104601. doi: 10.1088/1674-1056/ab9ddf
    [30]
    ZHAO Z, GUO J. Surface effects on a mode-Ⅲ reinforced nano-elliptical hole embedded in one-dimensional hexagonal piezoelectric quasicrystals[J]. Applied Mathematics and Mechanics, 2021, 42(5): 625-640. doi: 10.1007/s10483-021-2721-5
    [31]
    姜丽娟, 刘官厅, 高媛媛, 等. 磁电弹性材料含纳米尺度唇口次生两不对称裂纹的反平面问题[J]. 应用数学和力学, 2024, 45(10): 1332-1344. doi: 10.21656/1000-0887.450180

    JIANG Lijuan, LIU Guanting, GAO Yuanyuan, et al. An antiplane problem of magnetoelectroelastic materials with nanoscale lip-shaped orifice with 2 asymmetric cracks[J]. Applied Mathematics and Mechanics, 2024, 45(10): 1332-1344. (in Chinese) doi: 10.21656/1000-0887.450180
    [32]
    XIAO J, XU Y, ZHANG F. A rigorous solution for the piezoelectric materials containing elliptic cavity or crack with surface effect[J]. ZAMM-Journal of Applied Mathematics and Mechanics, 2016, 96(5): 633-641. doi: 10.1002/zamm.201400232
    [33]
    SU M, XIAO J, FENG G, et al. Mode-Ⅲ fracture of a nanoscale cracked hole in one-dimensional hexagonal piezoelectric quasicrystals[J]. International Journal of Mechanics and Materials in Design, 2022, 18(2): 423-433. doi: 10.1007/s10999-022-09589-7
    [34]
    SU M, XIAO J. Model Ⅲ fracture analysis of a nanoscale elliptical hole with four cracks in one-dimensional hexagonal piezoelectric quasicrystals[J]. Engineering Fracture Mechanics, 2022, 274: 108776. doi: 10.1016/j.engfracmech.2022.108776
    [35]
    RU C Q. Simple geometrical explanation of Gurtin-Murdoch model of surface elasticity with clarification of its related versions[J]. Science China Physics, Mechanics and Astronomy, 2010, 53(3): 536-544. doi: 10.1007/s11433-010-0144-8
    [36]
    SHOWKATI H, GHANBARI GHAZIJAHANI T, NOORI A, et al. Experiments on elastically braced castellated beams[J]. Journal of Constructional Steel Research, 2012, 77: 163-172. doi: 10.1016/j.jcsr.2012.05.008
    [37]
    MIMOUNE M, SOLTANI M, BOUCHAIR A. Numerical modelling of castellated beams with hexagonal openings[J]. World Journal of Engineering, 2012, 9(2): 167-178. doi: 10.1260/1708-5284.9.2.167
    [38]
    ABEDI SARVESTANI H. Cyclic behavior of hexagonal castellated beams in steel moment-resisting frames with post-tensioned connections[J]. Structures, 2017, 11: 121-134. doi: 10.1016/j.istruc.2017.05.001
    [39]
    CHEN J, CHAN T M, SU R K L, et al. Experimental assessment of the cyclic behaviour of concrete-filled steel tubular beam-columns with octagonal sections[J]. Engineering Structures, 2019, 180: 544-560. doi: 10.1016/j.engstruct.2018.10.078
    [40]
    CHEN Z, LIU G T, GUAN L. Exact analytic solutions of the problem about a circular hole with 2k periodic radial straight cracks. Chin J of Solid Mech, 2011, 29(4): 412-419.
    [41]
    SHARMA D S. Stress distribution around polygonal holes[J]. International Journal of Mechanical Sciences, 2012, 65(1): 115-124. doi: 10.1016/j.ijmecsci.2012.09.009
    [42]
    GUO J, LU Z. Fracture behavior of two non-symmetrical collinear cracks emanating from an elliptical hole in a piezoelectric material[J]. Frontiers of Mechanical Engineering, 2011, 6(3): 296. doi: 10.1007/s11465-011-0236-9
    [43]
    MUSKHELISHVILI N I. Certain Fundamental Problems of Mathematical Elasticity Theory[M]. Moscow: Academy of Sciences Press, 1966.
    [44]
    FAN T. Mathematical Theory of Elasticity of Quasicrystals and Its Applications[M]. Berlin Heidelberg: Springer, 2011.
    [45]
    XIAO J, XU Y, ZHANG F. Surface effects of electroelastic tip fields of multiple cracks emanating from a circular hole[J]. Engineering Fracture Mechanics, 2020, 236: 107219. doi: 10.1016/j.engfracmech.2020.107219
    [46]
    CHEN T. Exact size-dependent connections between effective moduli of fibrous piezoelectric nanocomposites with interface effects[J]. Acta Mechanica, 2008, 196(3): 205-217.
  • 加载中

Catalog

    通讯作者: 陈斌, bchen63@163.com
    • 1. 

      沈阳化工大学材料科学与工程学院 沈阳 110142

    1. 本站搜索
    2. 百度学术搜索
    3. 万方数据库搜索
    4. CNKI搜索

    Figures(18)

    Article Metrics

    Article views (163) PDF downloads(18) Cited by()
    Proportional views
    Related

    /

    DownLoad:  Full-Size Img  PowerPoint
    Return
    Return