Volume 46 Issue 10
Oct.  2025
Turn off MathJax
Article Contents
ZHAO Kexin, WANG Qikun, KE Lingjie. The Influence Effect of Fluid Elasticity on Particle Aggregation in Microchannels[J]. Applied Mathematics and Mechanics, 2025, 46(10): 1256-1266. doi: 10.21656/1000-0887.450275
Citation: ZHAO Kexin, WANG Qikun, KE Lingjie. The Influence Effect of Fluid Elasticity on Particle Aggregation in Microchannels[J]. Applied Mathematics and Mechanics, 2025, 46(10): 1256-1266. doi: 10.21656/1000-0887.450275

The Influence Effect of Fluid Elasticity on Particle Aggregation in Microchannels

doi: 10.21656/1000-0887.450275
Funds:

The National Science Foundation of China(52576166)

  • Received Date: 2024-10-17
  • Rev Recd Date: 2025-02-17
  • Available Online: 2025-11-13
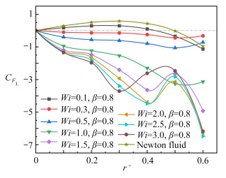
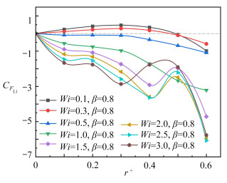
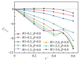
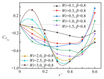
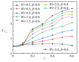
  • The relative motion model was employed for numerical simulation of particle aggregation in viscoelastic fluids, with the OldroydB model to describe the viscoelastic constitutive relationship and the logconformation reformulation for stable numerical simulation. The effects of particle aggregation characteristics on viscoelastic fluids with varying elasticities were examined. The findings show that, an increase in the Weissenberg number (Wi), coupled with a reduction in the β value of the viscoelastic fluid, could substantially enhance the fluid elasticity within the channel. Furthermore, significant fluctuations in the force experienced at the radial positions of the particles were observed. The distribution of radial forces on the particles fundamentally depends on the distribution of inertial forces, with elastic lifts fluctuations also causing inertial lift variations; thus, inertia and elasticity coexist nonlinearly. Higher Wi and lowerβvalues enlarge the region where lift forces direct particles toward the pipe center, shifting aggregation from the wall toward the center. In addition, the strong elastic flow makes the force direction of the particles always point to the pipe center.
  • loading
  • [2]D’AVINO G, ROMEO G, VILLONE M M, et al. Single line particle focusing induced by viscoelasticity of the suspending liquid: theory, experiments and simulations to design a micropipe flow-focuser[J].Lab on a Chip,2012,12(9): 1638-1645.
    D’AVINO G, MAFFETTONE P L. Particle dynamics in viscoelastic liquids[J].Journal of Non-Newtonian Fluid Mechanics,2015,215: 80-104.
    [3]SALAS-BARZOLA X, MATREJEAN G, DE LOUBENS C, et al.Reversal of particle Migration for viscoelastic solution at high solvent viscosity[J]. Journal of Non-Newtonian Fluid Mechanics,2024,329: 105234.
    [4]GOSSETT D R, WEAVER W M, MACH A J, et al. Label-free cell separation and sorting in microfluidic systems[J].Analytical and Bioanalytical Chemistry,2010,397(8): 3249-3267.
    [5]SETHU P, SIN A, TONER M. Microfluidic diffusive filter for apheresis (leukapheresis)[J].Lab on a Chip,2006,6(1): 83-89.
    [6]崔静, 岳茂昌, 牛书鑫, 等. 水滴撞击倾斜非Newton除冰液液膜动力学行为特性数值研究[J]. 应用数学和力学, 2024,45(3): 337-347.(CUI Jing, YUE Maochang, NIU Shunxin, et al. Numerical study on dynamic behavior characteristics of water droplets hitting inclined non-Newtonian deicing liquid films[J]. Applied Mathematics and Mechanics,2024,45(3): 337-347.(in Chinese))
    [7]YUAN D, ZHAO Q, YAN S, et al. Recent progress of particle migration in viscoelastic fluids[J].Lab on a Chip,2018,18(4): 551-567.
    [8]张仕环, 庞明军, 郑智颖. 低Weissenberg数黏弹性流体中单气泡上浮运动特性研究[J]. 应用数学和力学, 2023, 44(06): 629-642.(ZHANG Shihuan, PANG Mingjun, ZHENG Zhiying. Study on hydrodynamics characteristics of a single bubble in viscoelastic fluid at low weissenberg numbers[J]. Applied Mathematics and Mechanics,2023,44(6): 629-642. (in Chinese))
    [9]PACEK A. Bubbles, drops and particles in non-Newtonian fluids, R.P. Chhabra, 2nd ed., Taylor & francis group (2007), 770 pp., ISBN-10: 0-8247-7329-5[J]. Chemical Engineering Research and Design,2008,86(5): 535-536.
    [10]HUANG P Y, JOSEPH D D. Effects of shear thinning on migration of neutrally buoyant particles in pressure driven flow of Newtonian and viscoelastic fluids[J].Journal of Non-Newtonian Fluid Mechanics,2000,90(2/3): 159-185.
    [11]KARIMI A, YAZDI S, ARDEKANI A M. Hydrodynamic mechanisms of cell and particle trapping in microfluidics[J].Biomicrofluidics,2013,7(2): 21501.
    [12]FENG J, HUANG P Y, JOSEPH D D. Dynamic simulation of sedimentation of solid particles in an Oldroyd-B fluid[J].Journal of Non-Newtonian Fluid Mechanics,1996,63(1): 63-88.
    [13]LIU B R, LIN J Z, KU X K, et al. Migration of spherical particles in a confined shear flow of Giesekus fluid[J]. Rheologica Acta,2019,58: 639-646.
    [14]SEO K W, KANG Y J, LEE S J. Lateral migration and focusing of microspheres in a microchannel flow of viscoelastic fluids[J].Physics of Fluids,2014,26(6): 063301.
    [15]HWANG W R, HULSEN M A, MEIJER H E H. Direct simulations of particle suspensions in a viscoelastic fluid in sliding bi-periodic frames[J].Journal of Non-Newtonian Fluid Mechanics,2004,121(1): 15-33.
    [16]XIONG Y L, PENG S, YANG D, et al. Influence of polymer additive on flow past a hydrofoil: a numerical study[J].Physics of Fluids,2018,30(1): 013104.
    [17]PENG S, LI J Y, XIONG Y L, et al. Numerical simulation of two-dimensional unsteady Giesekus flow over a circular cylinder[J].Journal of Non-Newtonian Fluid Mechanics,2021,294: 104571.
    [18]王企鲲, 王浩. 微通道中弹性颗粒所受惯性升力特性的数值研究[J]. 机械工程学报, 2015,51(14): 160-166.(WANG Qikun, WANG Hao. Behavior for inertial lift on elastic particles in micro-channel[J]. Journal of Mechanical Engineering,2015,51(14): 160-166. (in Chinese))
    [19]沈洋, 王企鲲, 刘唐京. 剪切稀化流变特性对微通道中颗粒迁移的影响[J]. 应用数学和力学, 2024,45(5): 637-650.(SHEN Yang, WANG Qikun, LIU Tangjing. Effect of shear thinning rheological properties on particle migration in microchannels[J]. Applied Mathematics and Mechanics,2024,45(5): 637-650.(in Chinese))
    [20]D’AVINO G, HULSEN M A, GRECO F, et al. Numerical simulations on the dynamics of a spheroid in a viscoelastic liquid in a wide-slit microchannel[J].Journal of Non-Newtonian Fluid Mechanics,2019,263: 33-41.
    [21]NGUYEN-HOANG H, PHAN-THIEN N, KHOO B C, et al. Completed double layer boundary element method for periodic fibre suspension in viscoelastic fluid[J].Chemical Engineering Science,2008,63(15): 3898-3908.
    [22]蔡伟华, 李小斌, 张红娜, 等. 黏弹性流体动力学[M]. 北京: 科学出版社, 2016: 69.(CAI Weihua, LI Xiaobin, ZHANG Hongna, et al.Viscoelastic Fluid Dynamics[M]. Beijing: Science Press, 2016: 69.(in Chinese))
    [23]SURESHKUMAR R, BERIS A N. Effect of artificial stress diffusivity on the stability of numerical calculations and the flow dynamics of time-dependent viscoelastic flows[J].Journal of Non-Newtonian Fluid Mechanics,1995,60(1): 53-80.
    [24]FATTAL R, KUPFERMAN R. Constitutive laws for the matrix-logarithm of the conformation tensor[J].Journal of Non-Newtonian Fluid Mechanics,2004,123(2/3): 281-285.
    [25]ALVES M A, OLIVEIRA P J, PINHO F T. A convergent and universally bounded interpolation scheme for the treatment of advection[J].International Journal for Numerical Methods in Fluids,2003,41(1): 47-75.
    [26]PIMENTA F. RheoTool[EB/OL]. (2022-07-02)[2024-10-16]. https://github.com/fppimenta/rheoTool.
  • 加载中

Catalog

    通讯作者: 陈斌, bchen63@163.com
    • 1. 

      沈阳化工大学材料科学与工程学院 沈阳 110142

    1. 本站搜索
    2. 百度学术搜索
    3. 万方数据库搜索
    4. CNKI搜索

    Article Metrics

    Article views (61) PDF downloads(7) Cited by()
    Proportional views
    Related

    /

    DownLoad:  Full-Size Img  PowerPoint
    Return
    Return