Current Issue

2026 Vol. 47, No. 3

Chief Editor’s Note
Dynamics and Control
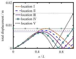
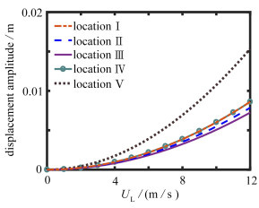
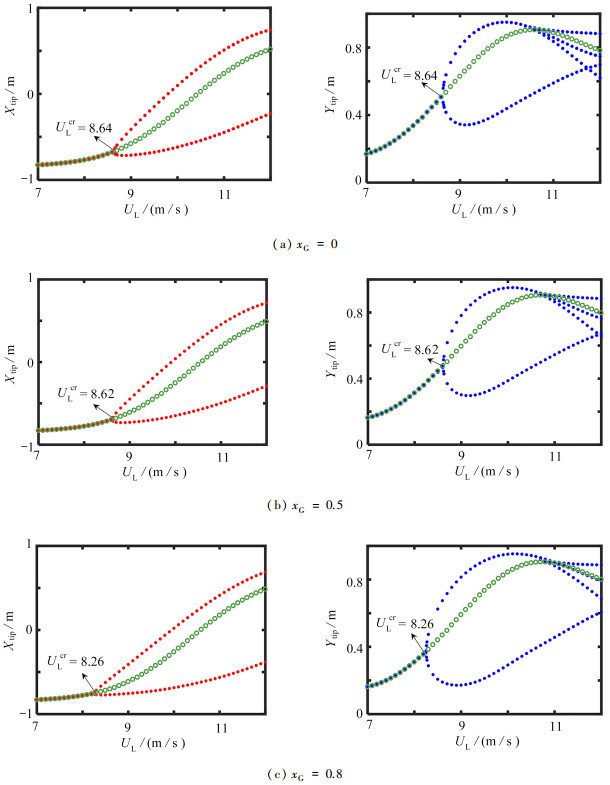
Nonlinear Dynamics and Vibration Suppression of L-Shaped Pipes Conveying 2-Phase Flow
JIA Cheng, XING Haoran, WANG Qiang, YANG Baoshan, MA Yue, LI Mingqiang, LIU Huyang, WANG Leiheng, DAI Huliang
2026, 47(3): 263-272. doi: 10.21656/1000-0887.460098
Abstract(163) HTML (59) PDF(117)
Abstract:
Based on the Euler-Lagrange equations, the absolute nodal coordinate formulation (ANCF) was employed to establish a nonlinear dynamic model for cantilevered L-shaped pipes conveying 2-phase flow. The characteristics of uniformly bubbly 2-phase flow were considered. Firstly, the static deformation results from the theoretical model were compared and validated against the finite element method (FEM), and the effects of the gas volume fraction on pipe static deformation and stability were analyzed. Then, the nonlinear dynamic behaviors of the pipe were studied for different void fractions, with a focus on the effects of void fractions on bifurcation characteristics. Finally, an optimal support design is proposed to suppress pipe vibrations, and minimize both the displacement and strain amplitudes of the L-shaped pipe.
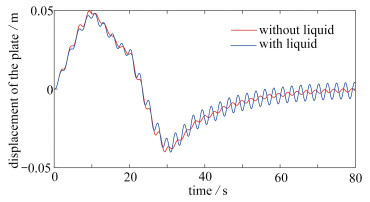
Coupling Dynamics Research of Large Complex Rigid-Liquid-Flexible Spacecrafts
YAN Sen, YUE Baozeng, MA Bole
2026, 47(3): 273-287. doi: 10.21656/1000-0887.460040
Abstract(137) HTML (58) PDF(19)
Abstract:
To accomplish long-duration and complex orbit flight missions, next-generation spacecrafts need to carry large flexible structures and high-capacity liquid fuel tanks. The nonlinear coupling problems between rigid body motion, liquid sloshing, and flexible structure vibrations become particularly significant during spacecraft maneuvering and control processes. A dynamic model for rigid-liquid-flexible coupling systems was presented, to first calculate the vibration of the flexible structure with the Kirchhoff-Love plate theory and the finite element methods. Then the flow theory was employed to model liquid fuel sloshing, and finally the overall dynamic model for the coupling system was derived with the Lagrange method. The study reveals the coupling dynamic interactions between rigid body motion, liquid sloshing, and flexible structure vibrations. The proposed modeling approach for rigid-liquid-flexible coupling spacecrafts was validated by comparison with published experimental and analytical results. The coupling analysis of complex, liquid-filled spacecrafts with large, flexible structures shows that, the finite element method can accurately capture the dynamic responses of high-frequency modes of the flexible structures. Additionally, due to the low-frequency characteristics of these large and complex space structures, the coupling effects with liquid fuel sloshing become even more pronounced.
Design of a Novel Combined Vibration Absorber Based on the Dynamic Vibration Absorption Principle and Its Application in Helicopters
JIN Kunjian, FU Shuo, XIONG Bo, ZHOU Ruchuan, YU Guorui
2026, 47(3): 288-300. doi: 10.21656/1000-0887.460109
Abstract(124) HTML (55) PDF(23)
Abstract:
Multi-order vibration loads on helicopter rotor systems are the main source inducing airframe vibrations, and conventional 1-way vibration absorbers are difficult to balance the multi-direction vibration requirements in flapping and lag directions. To reduce the 5/REV flapping loads and 6/REV lead lag loads on helicopter rotor systems at the same time, a combined vibration absorber for helicopter blades was proposed and designed. Firstly, the vibration reduction performance of the combined vibration absorber was verified through the rotation test of the ground test bench. Secondly, a theoretical analysis model for the combined vibration absorber was established. Finally, with the rotor system vibration response as the assessment index, the vibration reduction performance analysis of the combined vibration absorber was carried out. The results show that, when the rotor system is equipped with a combined absorber, the vibration response under the 6/REV lead lag loads can be reduced by 76.1% and that under the 5/REV flapping loads can be reduced by 53% in the condition that the weight increase ratio of the rotor system is only 7.4%, and the comprehensive damping efficiency can reach 63.5%.
Fluid Mechanics
Research on the Separation Characteristics of Microplastic Particles in Straight-Channel Bionic Microfluidic Chips
XUE Jingtian, HU Xiao, LI Junjie, LIN Yongjie, HUANG Yingjie
2026, 47(3): 301-312. doi: 10.21656/1000-0887.460120
Abstract(153) HTML (56) PDF(27)
Abstract:
To optimize an efficient biomimetic microfluidic chip for the high-efficiency, high-throughput separation of micron-sized particles such as microplastics, a computational fluid dynamic (CFD) coupled with discrete element method (DEM) numerical approach was employed to systematically investigate the internal flow field and particle separation mechanisms of a biomimetic microfluidic filtration structure. The 4 interesting particle separation mechanisms were summarized: at low Reynolds numbers, particles are separated through inertial focusing effects; at high Reynolds numbers, particles rely on the capture effect of vortices at the leading edge of the valve and the backflow effect between valves at the channel end to form 3 separation mechanisms. Finally, based on the mechanism analysis, the chip structure was optimized by increasing the cross-sectional length of the auxiliary channel, to achieve a maximum improvement of 7.9% in particle separation efficiency, an average reduction of 7.2% in the main channel flow rate, and a maximum increase of 9.4% in the production of clean filtrate. These findings provide a theoretical support for the optimized design of efficient bionic filtration membranes.
Dynamics of Nonlinear Rossby Waves With the Derivative-Expansion Method
TIAN Hongxiao, ZHANG Ruigang, LIU Quansheng
2026, 47(3): 313-328. doi: 10.21656/1000-0887.460159
Abstract(130) HTML (62) PDF(23)
Abstract:
Nonlinear Rossby waves are used to describe typical wave phenomena in large-scale atmosphere and ocean. Owing to the nonlinearity of the involved problems, the weakly nonlinear method, ie the derivative expansion method, was mainly used to investigate Rossby waves under the combined effects of the generalized β-effect and the basic flow effect. The derivative expansion method has the advantage of capturing the multi-scale characteristics of wave processes simultaneously. In the case where the perturbation expansion is independent of secular terms, the nonlinear equations describing the amplitude evolution of nonlinear waves were derived, such as the Korteweg-de Vries equation, the Boussinesq equation and Zakharov-Kuznetsov equation. Both qualitative and quantitative analyses indicate that the generalized β-effect is the key factor inducing the evolution of Rossby solitary waves.
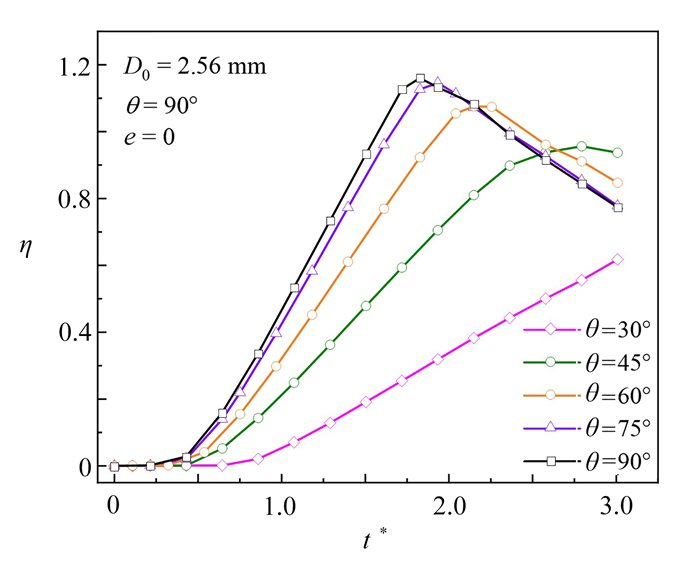
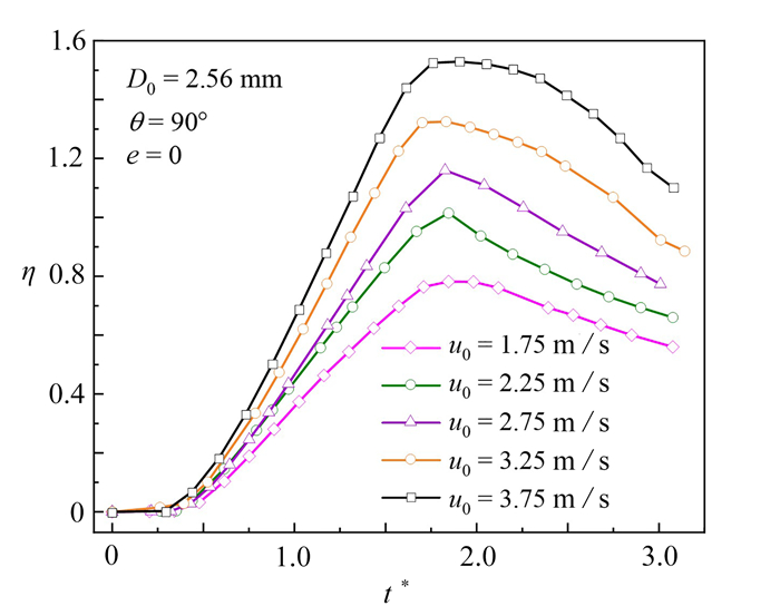
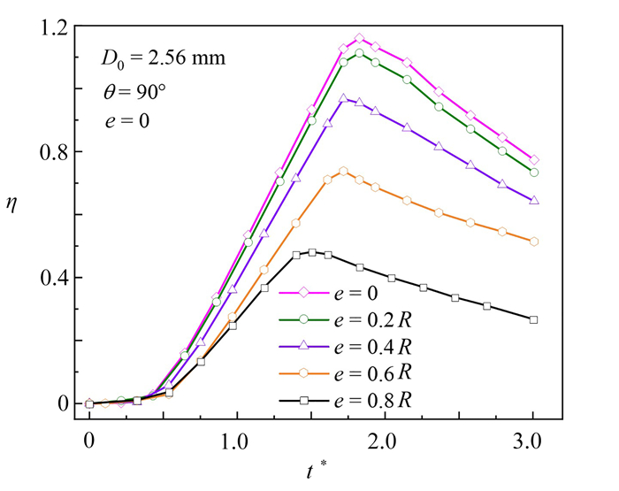
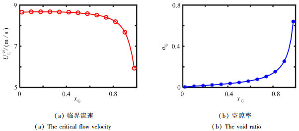
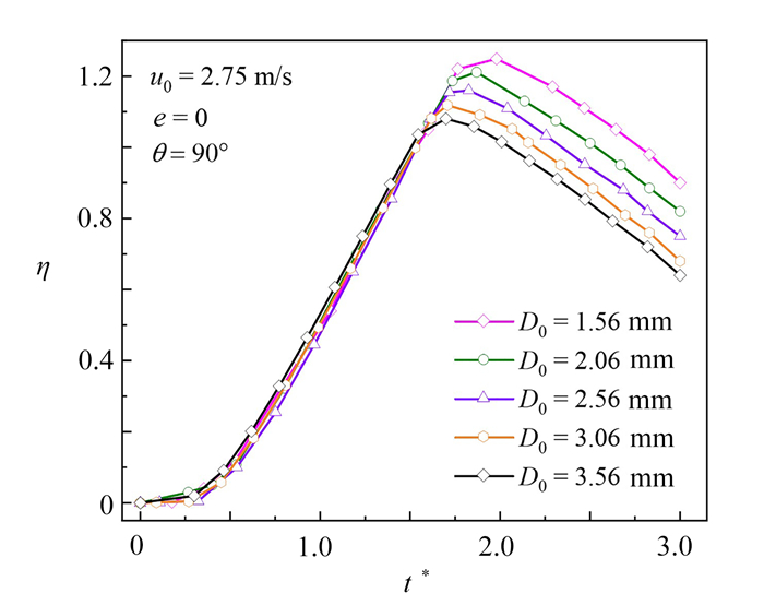
Numerical Study on Dispersion Characteristics of Droplets Impacting on a Single Fiber
LIU Jinpeng, FENG Shengjie, ZHANG Wenbo, LIU Zixiong
2026, 47(3): 329-339. doi: 10.21656/1000-0887.460022
Abstract(163) HTML (68) PDF(26)
Abstract:
The high-gravity reactor, renowned for its superior mass transfer efficiency, plays a pivotal role in carbon capture processes. The wire mesh packing serves as the primary structural element enhancing mass transfer. To fully comprehend the dispersion mechanism, it is essential to investigate the dynamics of droplets impacting on a single fiber. The volume of fluid method was employed to numerically examine the interaction between a droplet and a fiber. The effects of factors such as the initial velocity (u0), the initial diameter (D0), the impact eccentricity (e), and the impact angle (θ) on droplet deformation and dispersion characteristics were analyzed in detail. Vertical or central impacts were divided into 4 key stages: splitting, merging, stretching, and breaking. In contrast, eccentric and non-vertical impacts exhibit asynchronous breaking, sliding splitting, and oblique deformation stages. To quantitatively assess the post-impact dispersion characteristics, the dimensionless time (t*) and the gas-liquid interfacial area growth rate (η) were introduced. The results indicate that, increasing the initial velocity, reducing the droplet diameter, minimizing the eccentric distance, and maximizing the impact angle all enhance dispersion. A correlation was established to predict the maximum increase rate in gas-liquid interfacial area.
Solid Mechanics
Surface Effect on s Nano-Cracks Emanating From Electrically Semi-Permeable Regular n-Polygon Nano-Hole
LIU Xinyu, WU Zhilin, LIU Guanting
2026, 47(3): 340-353. doi: 10.21656/1000-0887.450328
Abstract(161) HTML (72) PDF(17)
Abstract:
The fracture behaviors of electrically semi-permeable regular n-polygon nano-holes with surface effects under far-field anti-plane mechanical loading and in-plane electric loading, were investigated. Based on the Gurtin-Murdoch surface model theory, the conformal mapping technique was adopted to analytically solve the stress and electric displacement fields, to obtain the analytical solutions for the stress intensity factor (SIF) and the electric displacement intensity factor (EDIF) at the crack tip. A new conformal mapping was constructed, from the exterior of s nano-cracks emanating from the regular n-polygon nano-hole to the interior of the circular nano-hole. The results indicate that, both the SIF and the EDIF are influenced by the coupling of far-field mechanical and electric loadings. Additionally, the smaller the side length of the regular n-polygon is, the more prominent the surface effect will be.
Analysis of Compressive Behaviors of Concrete Mesoscale Models Based on the SISSO Algorithm
BAI Yufei, ZHANG Xinyu, QI Xiaopeng, ZHANG Yuhang, WANG Zhiyong
2026, 47(3): 354-366. doi: 10.21656/1000-0887.450326
Abstract(270) HTML (56) PDF(33)
Abstract:
The mechanical properties of concrete under external loads are influenced by its mesoscale components. Due to their heterogeneity, experimental and numerical methods struggle to reveal the impacts of mesoscale structures on the macroscopic mechanical behaviors of concrete. To effectively predict the peak stress of a 3-phase (aggregate, mortar and voids) mesoscale model of concrete under uniaxial compression, a framework for mesoscopic concrete was established with PYTHON and ABAQUS, to generate a dataset of models with varying aggregate volume fractions, porosities and peak compressive stresses. The sure independence screening and sparsifying operator (SISSO) machine learning algorithm, combined with the K-fold cross validation for hyperparameter optimization, was employed to derive a formula describing the effects of the aggregate volume fraction and the porosity on the peak stress. The formula accurately describes the peak stress variation trend, thereby achieving precise predictions and offering physical interpretability. Compared to traditional machine learning algorithms, the SISSO demonstrates advantages of maintaining precision while reducing computation costs and improving interpretability. It overcomes the "black box" limitations of conventional methods, offering new insights for multiscale mechanical analyses of composite materials.
The 1D Quasicrystal Wave Equation Coefficient Matrix Symmetrization and Its SBP-SAT Simulation
LIU Taiyu, ZHOU Yuee, JIANG Guanxixi, ZHANG Jianwei, SUN Cheng
2026, 47(3): 367-380. doi: 10.21656/1000-0887.450324
Abstract(149) PDF(23)
Abstract:
The study of wave propagation in quasicrystals is of significant value for gaining a deeper understanding of the unique physical properties of quasicrystals, however, numerical simulations of such wave behaviors pose considerable challenges. Through symmetrization of the wave equation coefficient matrix, it is possible to effectively integrate different types of wave equations and reduce the complexity of wave propagation simulations. The symmetrized form of the coefficient matrix for the 1D quasicrystal wave equation was derived and the wave equation was discretized with the upwind scheme SBP-SAT finite difference method, and the stability was then assessed with the energy method. Numerical simulations demonstrate that the proposed discretization framework exhibits high integration, good stability, and strong scalability. Furthermore, the method can stably simulate wave propagation in curved domains while reducing the implementation cost, indicating the broad application potential of the symmetrization technique and its discretization framework in wave propagation simulations.
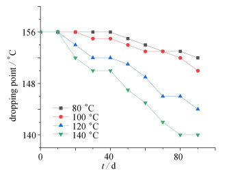
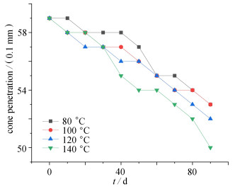
Study on Aging and Life Prediction of Fluoroether Lubricating Grease for Spacecraft
GUO Li, LI Xiujie, SUN Shu, ZHANG Youyi, XIAO Xiaoming, LI Xu, YANG Yaodong
2026, 47(3): 381-390. doi: 10.21656/1000-0887.460025
Abstract(157) HTML (61) PDF(23)
Abstract:
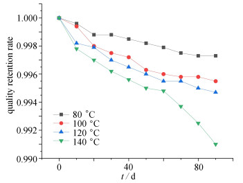
The lubricating grease degradation and aging performance is critical to the reliability of spacecraft deployment mechanisms, moving components, and other related products. Limited research has been conducted on the effects of grease aging on performance and lifespan prediction, with insufficient theoretical support for the application of long-life lubricating grease in spacecraft. The quality change rate was selected as the key performance for aging failure, a time temperature equivalent model based on the quality retention rate of lubricating grease was obtained by means of the Arrhenius equation and the time temperature relationship, which can predict the quality change of lubricating grease under various storage conditions. Key parameters such as the droplet point and the cone penetration were monitored to evaluate the lubricating grease aging performance. The results show that, aging has a significant impact on the droplet point and the cone penetration performance, with a 1% loss rate of the lubricating grease mass indicating a predicted lifespan of 5.4 a at the failure point. In addition, a 4-ball friction test was used to study the lubricating grease friction performance on bearing steel GCr15 under different loads. The test indicate that aging significantly influences the lubricating grease friction coefficient and the wear zone diameter under high loads. The research results and methods provide a basis for understanding the lubricating grease degradation and aging performance, and predicting its lifespan.
Cover And Contents
Cover And Contents
2026, 47(3)
Abstract(104) PDF(21)
Abstract:
Chief Editor's Note
AI Enables Structural Design
LU Tianjian, MENG Han, JIANG Yongfeng
2026, 47(3): 257-262. doi: 10.21656/1000-0887.470062
Abstract(240) HTML (76) PDF(139)
Abstract:
The rapid development of artificial intelligence (AI) is reshaping the research landscape of structural design. Based upon the long-established theoretical framework of mechanics, emerging AI technologies, particularly large language models (LLMs), are providing new cognitive tools and methodological perspectives for structural design. As the structural morphology space continues to expand and multi-scale, multi-physics coupling problems become increasingly prevalent, traditional design approaches relying on accumulated experience and local trial-and-error methods are approaching their limits in handling growing complexity. In this context, AI not only opens new possibilities for exploring high-dimensional design spaces, representing knowledge, and facilitating interdisciplinary integration, but also extends the way humans understand and analyze complex systems. Looking ahead, AI may enable new development pathways for structural design, including closed-loop frameworks integrating design, manufacturing, and testing, unified paradigms for multi-physics structural design, and the emergence of intelligent structural systems. These developments offer important opportunities for structural science to further expand its cognitive boundaries in an era increasingly shaped by intelligent technologies.