Current Issue

2026 Vol. 47, No. 2

Solid Mechanics
Low-Frequency Ultra-Wideband Underwater Acoustic Diffusion Stealth Based on Locally Resonant Encoded Metasurface
ZHU Jiahui, LI Chenyang, SHI Lei, ZHOU Hongtao, WANG Yanfeng
2026, 47(2): 123-135. doi: 10.21656/1000-0887.460058
Abstract(417) HTML (205) PDF(166)
Abstract:
Underwater acoustic stealth is of great significance for improving the survival and working capabilities of underwater devices. A method for underwater low-frequency ultra-wideband acoustic diffusion stealth based on the locally resonant coded metasurface was proposed. Firstly, an equivalent model of acoustic-vibration coupling for locally resonant metasurface elements was established, revealing the mechanical mechanism of an inverted T-shaped fractal structure in modulating the phases of underwater reflected acoustic waves. Then, a collaborative optimization design of the broadband coded elements was carried out based on the genetic algorithm. Furthermore, based on the coding theory, the coding sequence of the metasurface with superior diffusion performance within the broadband range was optimized. Finally, numerical simulations and experimental tests were conducted for this metasurface. The results show that, the metasurface coding element with an inverted T-shaped fractal structure can exhibit excellent ultra-wideband phase modulation performance at the deep sub-wavelength scale. The coded metasurface can achieve underwater diffusion stealth in the low broadband frequency range of 300~1 500 Hz. The experimental results are basically consistent with the simulation results. The research provides a new approach for underwater low-frequency ultra-wideband acoustic stealth.
Effects of Forced Cooling on High Cycle Fatigue Properties of Glass Fiber-Vinyl Resin Composites
ZHAO Bangyao, WANG Yin, HU Yifeng, WEI Xiong, LI Wei, HU Yu, WANG Jianqiang, ZHANG Zhijia, ZHANG Qiancheng
2026, 47(2): 136-144. doi: 10.21656/1000-0887.450337
Abstract(218) HTML (120) PDF(141)
Abstract:
To study the effects of forced air cooling on the fatigue performance of glass fiber-vinyl resin composites fabricated through unidirectional pultrusion, a quasi-static tensile test was carried out to obtain the ultimate load of failure and analyze its failure modes. On this basis, a high-frequency fatigue testing device with forced air cooling and an infrared camera to monitor the temperature change were used to study the pull-pull fatigue behavior of the composite with or without forced air cooling, and the effects of the forced air cooling on the fatigue life of the specimen were compared and analyzed. The test results show that, under a stress level within 155~240 MPa, the surface temperature of the specimen without forced air cooling measures rises rapidly, leading to the failure of the specimen, while under a stress level of 155 MPa, the temperature rises slowly first and then stabilizes. After forced air cooling, the surface temperature of the specimens will decrease, and the fatigue life will increase significantly, and the stress level will stay below 140MPa. The fatigue life of the specimens is not significantly influenced by forced air cooling measures. Furthermore, the fatigue fracture of the sample is mainly based on the matrix cracking. The proposed experimental method provides reference and guidance for fatigue experimental design of fiber reinforced composites.
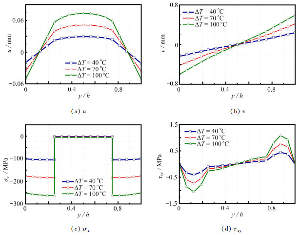
Elastic Solutions for Orthotropic Laminated Beams Under Temperature Variations and Loads
QIAN Hai, CHEN Jiawei, LU Chunhua
2026, 47(2): 145-157. doi: 10.21656/1000-0887.450323
Abstract(286) HTML (129) PDF(145)
Abstract:
Composite laminated structures, composed of multiple engineering materials, have wide-range applications in building engineering, aerospace, automobile industry and other fields, owing to the exceptional designability and mechanical performance. The thermodynamic behaviors of clamped orthotropic laminated beams were investigated in temperature variations and the exact solutions for thermal stresses and displacements were derived based on the theory of thermoelasticity. This method is applicable to laminated beams with arbitrary thickness and number of layers, under both loads and variable temperatures. Firstly, the clamped support was equivalently transformed into a simple support boundary and a pair of transverse boundary reaction forces through introduction of the unit impulse function and the Dirac function. Additionally, the state equation was formulated with the displacement and stress as state variables and the fundamental equations combined. The Fourier series was employed to simplify the state space equation. The relationships of displacements and stresses between the top and bottom layers of the laminated beam were sequentially derived based on the continuities of displacements and stresses at the interfaces of the adjacent layers. Ultimately, the displacement and stress at any point in the orthotropic laminated beam were determined by means of the stress and displacement boundary conditions at the upper and lower surfaces of the structure. Convergence and comparison analyses demonstrate the effectiveness and accuracy of the proposed method. Furthermore, the effects of the temperature and the length-to-thickness ratio on the distributions of displacements and stresses in the orthotropic laminated beams, were discussed in detail.
An Analytical Method for Vertical Additional Stresses and Displacements in 3-Layer Ground Under Rectangular Uniform Load
LIANG Yao, NI Ruisi, XIAO Shiguo, HE Gang, WU Bing
2026, 47(2): 158-177. doi: 10.21656/1000-0887.450342
Abstract(355) HTML (160) PDF(144)
Abstract:
The existing theoretical methods cannot reasonably and practicably analyze vertical additional stresses and displacements in a 3-layer ground, which is common in actual engineering. To solve this theoretical calculation problem, a semi-infinite layered elastic model for the 3-layer ground was established based on the elastic theory. According to the proposed transformation of intermedium variables, the state space theory and the Hankel integral transformation, the closed-form analytical solutions to the vertical additional stresses and displacements under a rectangular uniform load on the 3-layer ground, were deduced. Also, an effective numerical calculation tactic was provided to carry out the proposed method to avoid the possible numerical overflow. Meanwhile, an approach for the integral upper bound to obtain the high-accuracy numerical results of the settlements at the ground surface and the vertical stresses and displacements in the ground was put forward. Analytical results of some examples show that, the proposed solutions agree well with the numerical results via FLAC3D, and the error between the proposed model and the finitely deep foundation model based on China codes is about 8%. If the 1st layer thickness of the multi-layer ground with greatly different 3 layers is larger than the load width, the error of the additional stresses calculated according to the current codes will be very high. As for the ground sequentially including medium, soft and hard layers from the surface, the proposed solutions are obviously less than those obtained with the traditional method for homogeneous ground within the range where the ratio of the soil depth to the load width is not more than 0.75. If the soil depth is over the range, the traditional method will underestimate the additional stress in the ground. Moreover, the proposed method reveals that the thicknesses of the upper 2 layers have a great influence on the additional stresses in the upper and middle areas of the ground, and the stress dispersion efficiency along the depth evidently increase with the thickness of the 1st layer under the surface.
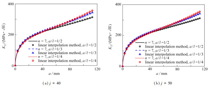
Improvement of the Calculation Method for Stress Intensity Factors at the Free Surface of Typical Cracks in Ultra-High-Pressure Vessel
WANG Zhifu, WEI Shutao, ZHANG Yuandi, ZHENG Jian
2026, 47(2): 178-188. doi: 10.21656/1000-0887.460176
Abstract(218) HTML (125) PDF(138)
Abstract:
The stress intensity factor at the free surface is a core calculation parameter in the typical crack propagation and life prediction process of ultra-high-pressure vessels. Based on the segmented linear interpolation method, an improved method based on high-order polynomial fitting calculation was proposed. With blind bottom cracks as an example, stress data under different collected data volumes were fitted by means of polynomials of different orders; The stress intensity factors at the free surface of different cracks was calculated with this method, and the effects of polynomial orders and data amounts on the calculation results were explored; At different crack depth to length ratios, the differences between this method and the recommended linear interpolation method in previous literatures and the finite element method, were compared and analyzed. The results indicate that, as the polynomial order increases, the calculation results show a gradually approaching and converging trend. The minimum relative error of the calculation results for conventional cubic and high-order polynomial fitting is about -30%; As the collected data amount continues to increase, the calculation results gradually converge towards a stable value. Comparison of calculation results between the cases with less and more data shows that, the maximum relative error can reach about 11%. This method, with its calculation results, is basically consistent with the linear interpolation method in the previous literatures and the finite element method, and is suitable for dynamic crack propagation and life prediction processes.
Thermal Shock Damage Analysis of Refractory Material Based on the DD-OSBPD Model
ZHANG Yihao, JIANG Cuixiang, JIANG Xiaoyu
2026, 47(2): 189-202. doi: 10.21656/1000-0887.450287
Abstract(310) HTML (213) PDF(134)
Abstract:
A fully coupled thermal-mechanical model based on damage dependent ordinary state-based peridynamics (DD-OSBPD) was proposed. In this model, the new surface effects caused by crack damage due to bond breakage were considered, a bond damage correction factor was introduced and a secondary correction was made to the surface correction factor to enhance the computational accuracy of the peridynamics (PD) model at crack damage positions. Additionally, the OpenMP parallel computing technology was employed to implement the numerical calculations for this model. The thermal-mechanical coupling problem of a centrally cracked plate subjected to uniform tensile loading was simulated with the DD-OSBPD thermal-mechanical coupling model, the ordinary state-based peridynamic (OSBPD) thermal-mechanical coupling model and the finite element method, respectively. The results validate the effectiveness of the DD-OSBPD thermal-mechanical coupling model. With the DD-OSBPD thermal-mechanical coupling model, the crack damage propagation in ceramic plates at various quenching temperatures was simulated, and the impact of different quenching temperatures on the material's thermal shock resistance was investigated. Comparison between numerical simulations with experimental studies show the same crack propagation patterns in good agreement, which further confirms the correctness of the model.
Fluid Mechanics
Study on Vibration and Power Stability of Tandem Double PTC Cylinders Under Different Perturbations
ZHANG Dahai, ZHANG Shuai, LIU Shuoshuo, HOU Xiaohai, JIANG Yaoxin
2026, 47(2): 203-218. doi: 10.21656/1000-0887.450338
Abstract(273) HTML (196) PDF(125)
Abstract:
The development of ocean energy aligns with the national dual-carbon strategy objectives. The large-scale utilization of VIVACE devices to extract ocean current energy requires the coordinated power generation of multiple oscillators. However, the perturbation effects among multiple oscillators can create a relatively chaotic flow field, resulting in unstable vibration responses of the VIVACE device. To address this issue, a rigid connecting structure was proposed to mitigate the perturbation caused by flow-induced vibrations. With the RANS method and the Spalart-Allmaras turbulence model, combined with the dynamic meshing and the UDF technology, the flow-induced vibration responses, vibration stability, and instantaneous output power stability of separated serial twin PTC cylinders and rigidly connected twin PTC cylinders were simulated under 3 spacing ratios: L=1.5D, L=2.5D, and L=3.5D. The results indicate that, in the rigidly connected case, the vibration amplitude stability will decrease with the spacing ratio. Compared to the separated configuration, the rigidly connected setup has higher vibration stability and instantaneous output power stability as well under all 3 spacing ratios, although the improvement effect diminishes as the spacing ratio increases. A net damping coefficient was introduced to assess the energy changes in the system during the vibration process of the separated serial twin PTC cylinders and the rigidly connected serial twin PTC cylinders. The results show that, an unstable net damping coefficient leads to unstable energy in the system, ultimately resulting in unstable vibration responses.
Geometrically-Induced Errors in the Finite Difference Method for Solving Heat Conduction Equations
LIU Jun, LIU Guangying, XU Chunguang
2026, 47(2): 219-229. doi: 10.21656/1000-0887.460061
Abstract(166) HTML (174) PDF(121)
Abstract:
Firstly, as an example, the unstructured finite difference method (UFDM) based on discrete equivalent equations was proposed, to enhance the geometric adaptability of the finite difference method. During the solution of the heat conduction equations with the finite difference method in the curvilinear coordinate system, the coordinate transformation will lead to geometric-induced errors. This phenomenon was illustrated by means of the central difference scheme to solve the temperature field equation. Based on the precision definition of the truncation errors of the difference scheme, the geometry-induced error was theoretically demonstrated to inevitably leads to a reduction in order. Secondly, a linear preservation assessment model was built to verify the 1st-order accuracy, and the difference scheme was proved to be difficult to guarantee the 1st-order accuracy of the assessment model on non-uniform grids. On this basis, a linear preservation algorithm based on gradient reconstruction was proposed. Numerical calculations show that, for structured grids with any shape to calculate linearly distributed temperature fields, numerical solutions with errors at the machine precision level of 0 can be obtained. This study provides a theoretical and practical foundation for developing fully automatic temperature field calculation software.
Applied Mathematics
A Monotonic Time-Discretized Scheme for Optimal Control Problems
XIANG Qingqing, CHEN Hao
2026, 47(2): 230-242. doi: 10.21656/1000-0887.460020
Abstract(182) HTML (137) PDF(119)
Abstract:
Recently, Breitenbach and Borzì proposed a sequential quadratic Hamiltonian method for solving optimal control problems. They proved the monotonic convergence of the algorithm in the continuous time case. However, the properties of the discrete version of the iterative procedure have not been tackled yet. A midpoint time-discretized scheme preserving the monotonic properties of the sequential quadratic Hamiltonian method was presented. Numerical experiments show the effectiveness and convergence of the proposed algorithm.
Dynamic Behavior and Sensitivity Analysis on a Class of Diabetes Models
LI Changtong, TIAN Jia, FENG Xiaozhou, LIU Yuntao
2026, 47(2): 243-256. doi: 10.21656/1000-0887.460021
Abstract(269) HTML (129) PDF(119)
Abstract:
Based on the fact that glucocorticoid induces insulin resistance, a new type of diabetes model involving insulin, glucose, and glucocorticoid was established to explore the complex pathogenesis of diabetes. Firstly, the local and global stability of the equilibrium point was demonstrated with the linearization method, the limit system theory, and the Dulac criterion. Secondly, the key parameters affecting glucose concentration were selected, and the sensitivity analysis of the key parameters with respect to the positive equilibrium point was carried out with the direct differentiation method. This analysis shows how the key parameters influence the secretion and function of insulin and glucocorticoid, thereby helping to regulate the fluctuations of glucose levels. Finally, numerical simulations were conducted on MATLAB. These simulations not only verify the correctness of the theoretical analysis, but also reveal the changing trends of glucose concentrations under different intervention treatments. The results indicate that, the selection of appropriate key parameters is crucial for the control of glucose concentration, which provides a theoretical basis for formulating clinical treatment plans for diabetes.
Cover And Contents
Cover And Contents
2026, 47(2)
Abstract(322) PDF(119)
Abstract: