• Scopus收录
  • CSCD来源期刊
  • 中文核心期刊

留言板

尊敬的读者、作者、审稿人, 关于本刊的投稿、审稿、编辑和出版的任何问题, 您可以本页添加留言。我们将尽快给您答复。谢谢您的支持!

姓名
邮箱
手机号码
标题
留言内容
验证码

裂纹面分布加载裂尖SIFs分析的广义参数Williams单元

徐华 曹政 邹云鹏 杨绿峰

徐华,曹政,邹云鹏,杨绿峰. 裂纹面分布加载裂尖SIFs分析的广义参数Williams单元 [J]. 应用数学和力学,2022,43(7):752-760 doi: 10.21656/1000-0887.420317
引用本文: 徐华,曹政,邹云鹏,杨绿峰. 裂纹面分布加载裂尖SIFs分析的广义参数Williams单元 [J]. 应用数学和力学,2022,43(7):752-760 doi: 10.21656/1000-0887.420317
XU Hua, CAO Zheng, ZOU Yunpeng, YANG Lüfeng. Williams Elements With Generalized Degrees of Freedom for Crack Tip SIFs Analysis Under Crack Surface Distributed Loading[J]. Applied Mathematics and Mechanics, 2022, 43(7): 752-760. doi: 10.21656/1000-0887.420317
Citation: XU Hua, CAO Zheng, ZOU Yunpeng, YANG Lüfeng. Williams Elements With Generalized Degrees of Freedom for Crack Tip SIFs Analysis Under Crack Surface Distributed Loading[J]. Applied Mathematics and Mechanics, 2022, 43(7): 752-760. doi: 10.21656/1000-0887.420317

裂纹面分布加载裂尖SIFs分析的广义参数Williams单元

doi: 10.21656/1000-0887.420317
基金项目: 国家自然科学基金(重点项目)(51738004);广西自然科学基金(2019GXNSFAA245012)
详细信息
    作者简介:

    徐华(1979—),男,副教授,博士,硕士生导师(通讯作者. E-mail: xuhua@gxu.edu.cn

  • 中图分类号: O346.1

Williams Elements With Generalized Degrees of Freedom for Crack Tip SIFs Analysis Under Crack Surface Distributed Loading

  • 摘要:

    带裂缝服役是工程结构的常态,由于流体侵入到裂缝内部,裂纹面直接受荷,使得裂缝进一步扩展,甚者影响结构的安全性。广义参数Williams单元(简记W单元)在分析断裂问题中,利用Williams级数建立裂尖奇异区的位移场,通过求解广义刚度方程可直接获得应力强度因子(stress intensity factors,SIFs),具有高精高效性;但W单元需满足奇异区内裂纹面自由的边界条件,故在分析裂纹面加载的问题中受限。该文基于SIFs互等,在等效奇异区范围中,将裂纹面的荷载等效为奇异区外围边界裂纹面上的集中力,避免奇异区内裂纹面受荷,故采用W单元即可简便计算。算例分析表明:等效奇异区尺寸取裂纹长度的1/20,等效荷载系数P建议取2.0,W单元计算精度均满足1%的误差限,证明该文在奇异区裂纹面受荷等效处理方法上具有合理性、通用性,克服了W单元在分析裂纹面加载问题的局限性。

  • 图  1  裂尖局部面荷载等效

    注 为了解释图中的颜色,读者可以参考本文的电子网页版本,后同。

    Figure  1.  Crack tip local surface load equivalence

    图  2  裂尖奇异区网格划分及分布荷载等效

    Figure  2.  Discretization and distributed load equivalence in the crack tip singular region

    图  3  常规区网格离散

    Figure  3.  Discretization in the regular region

    图  4  边界裂纹面受均布压力计算结果

    Figure  4.  Calculation results for uniformly distributed pressure on the crack surface

    图  5  中心裂纹面受均布荷载

    Figure  5.  The uniformly distributed load on the central crack surface

    图  6  常规区网格离散

    Figure  6.  Discretization in the regular region

    图  7  中心裂纹面受均布压力计算结果

    Figure  7.  Calculation results for uniformly distributed pressure on the central crack surface

    图  8  裂纹面受线性压力计算结果

    Figure  8.  Calculation results for linear pressure on the crack surface

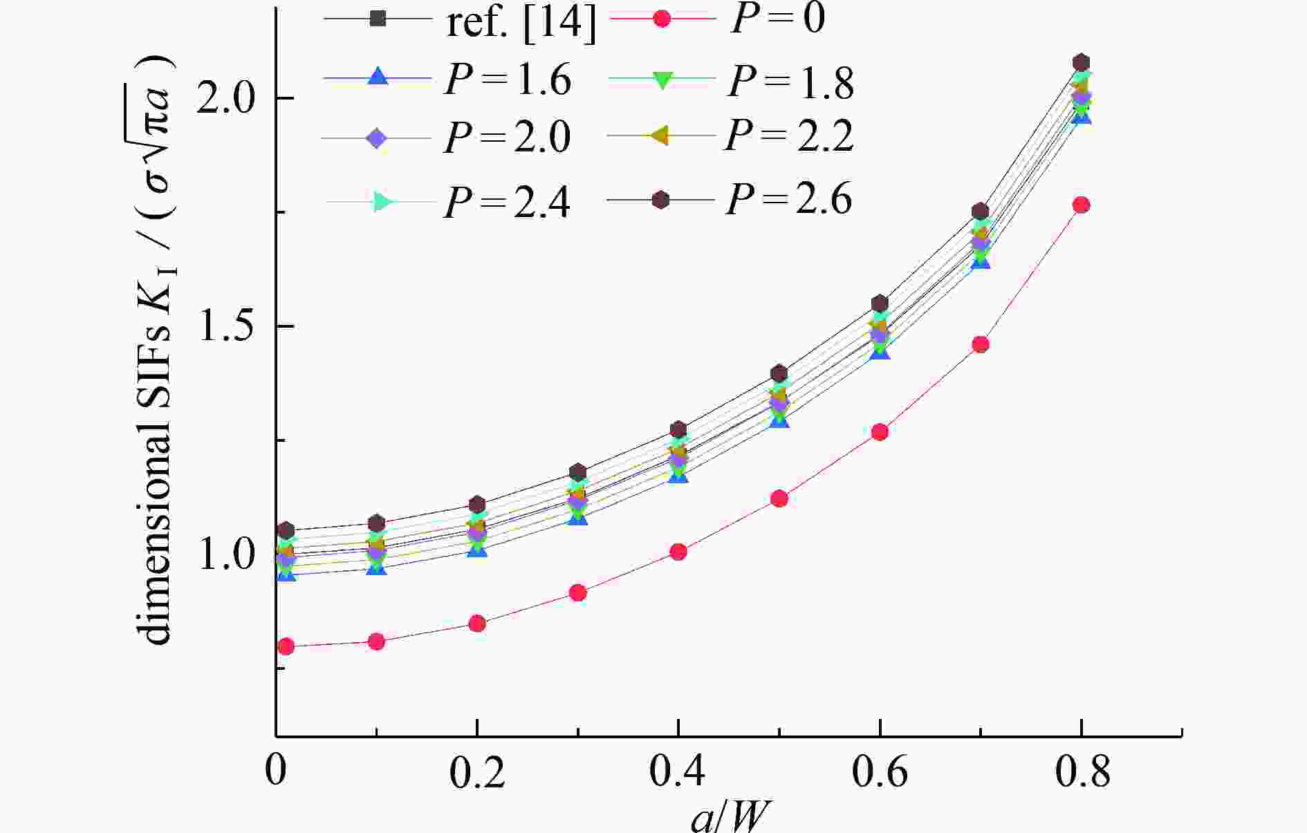
    图  9  无量纲SIFs随尺寸变化的计算结果

    Figure  9.  Calculation results for dimensionless SIFs varying with sizes

    表  1  模型参数(λ=0)

    Table  1.   Model parameters (λ=0)

    a/W$\displaystyle \int_{a - c}^a {\sigma \left( X \right){\text{d} }X}$PQ
    0.050.51.960.982
    0.100.51.980.991
    0.200.51.990.997
    0.300.51.980.988
    0.400.51.930.963
    0.500.51.850.924
    0.600.51.740.869
    0.700.51.600.800
    下载: 导出CSV
  • [1] 刘钧玉, 林皋, 范书立, 等. 裂纹面受荷载作用的应力强度因子的计算[J]. 计算力学学报, 2008, 25(5): 621-626. (LIU Junyu, LIN Gao, FAN Shuli, et al. The calculation of stress intensity factor including the effects of surface tractions[J]. Chinese Journal of Computational Mechanics, 2008, 25(5): 621-626.(in Chinese)

    LIU Junyu, LIN Gao, FAN Shuli, et al. The calculation of stress intensity factor including the effects of surface tractions[J]. Chinese Journal of Computational Mechanics, 2008, 25(5): 621-626. (in Chinese))
    [2] LIU J Y, LIN G, LI X C, et al. Evaluation of stress intensity factors for multiple cracked circular disks under crack surface tractions with SBFEM[J]. China Ocean Engineering, 2013, 27(3): 417-426. doi: 10.1007/s13344-013-0036-6
    [3] ZHONG H, LI C L, LI H J, et al. Stress intensity factors of interfacial crack with arbitrary crack tractions[J]. IOP Conference Series: Earth and Environmental Science, 2019, 304(5): 052111. doi: 10.1088/1755-1315/304/5/052111
    [4] 陈白斌, 李建波, 林皋. 无需裂尖增强函数的扩展比例边界有限元法[J]. 水利学报, 2015, 46(4): 489-496, 504. (CHEN Baibin, LI Jianbo, LIN Gao. An extended scaled boundary finite element method without asymptotic enrichment of the crack tip[J]. Journal of Hydraulic Engineering, 2015, 46(4): 489-496, 504.(in Chinese)

    CHEN Baibin, LI Jianbo, LIN Gao. An extended scaled boundary finite element method without asymptotic enrichment of the crack tip[J]. Journal of Hydraulic Engineering, 2015, 46(4): 489-496, 504. (in Chinese))
    [5] 李亚, 易志坚, 王敏, 等. 裂纹面局部均布荷载下Ⅰ型裂纹有限宽板应力强度因子[J]. 应用数学和力学, 2020, 41(10): 1083-1091. (LI Ya, YI Zhijian, WANG Min, et al. The stress intensity factor of a finite-width plate with a mode-Ⅰcenter crack subjected to uniform stress on the crack surface near the crack tip[J]. Applied Mathematics and Mechanics, 2020, 41(10): 1083-1091.(in Chinese)

    LI Ya, YI Zhijian, WANG Min, et al. The stress intensity factor of a finite-width plate with a mode-Ⅰcenter crack subjected to uniform stress on the crack surface near the crack tip[J]. Applied Mathematics and Mechanics, 2020, 41(10): 1083-1091. (in Chinese))
    [6] FETT T, RIZZI G. Weight functions for stress intensity factors and T-stress for oblique cracks in a half-space[J]. International Journal of Fracture, 2005, 132(1): L9-L16. doi: 10.1007/s10704-005-0024-9
    [7] LI J, WANG X, TAN C L. Weight functions for the determination of stress intensity factor and T-stress for edge-cracked plates with built-in ends[J]. International Journal of Pressure Vessels and Piping, 2004, 81(3): 285-296. doi: 10.1016/j.ijpvp.2003.12.013
    [8] WALTERS M C, PAULINO G H, DODDS JR R H. Interaction integral procedures for 3-D curved cracks including surface tractions[J]. Engineering Fracture Mechanics, 2005, 72(11): 1635-1663. doi: 10.1016/j.engfracmech.2005.01.002
    [9] MUTHU N, MAITI S K, FALZON B G, et al. A comparison of stress intensity factors obtained through crack closure integral and other approaches using extended element-free Galerkin method[J]. Computational Mechanics, 2013, 52(3): 587-605. doi: 10.1007/s00466-013-0834-y
    [10] 贾金生, 汪洋, 冯炜, 等. 重力坝高压水劈裂模拟方法与特高重力坝设计准则初步探讨[J]. 水利学报, 2013, 44(2): 127-133. (JIA Jinsheng, WANG Yang, FENG Wei, et al. Simulation method of hydraulic fracturing and discussions on design criteria for super high gravity dams[J]. Journal of Hydraulic Engineering, 2013, 44(2): 127-133.(in Chinese) doi: 10.3969/j.issn.0559-9350.2013.02.003

    JIA Jinsheng, WANG Yang, FENG Wei, et al. Simulation method of hydraulic fracturing and discussions on design criteria for super high gravity dams[J]. Journal of Hydraulic Engineering, 2013, 44(2): 127-133. (in Chinese)) doi: 10.3969/j.issn.0559-9350.2013.02.003
    [11] 唐世斌, 刘向君, 罗江, 等. 水压诱发裂缝拉伸与剪切破裂的理论模型研究[J]. 岩石力学与工程学报, 2017, 36(9): 2124-2135. (TANG Shibin, LIU Xiangjun, LUO Jiang, et al. Theoretical model for tensile and shear crack initiation at the crack tip in rock subjected to hydraulic pressure[J]. Chinese Journal of Rock Mechanics and Engineering, 2017, 36(9): 2124-2135.(in Chinese)

    TANG Shibin, LIU Xiangjun, LUO Jiang, et al. Theoretical model for tensile and shear crack initiation at the crack tip in rock subjected to hydraulic pressure[J]. Chinese Journal of Rock Mechanics and Engineering, 2017, 36(9): 2124-2135. (in Chinese))
    [12] 杨绿峰, 徐华, 李冉, 等. 广义参数有限元法计算应力强度因子[J]. 工程力学, 2009, 26(3): 48-54. (YANG Lüfeng, XU Hua, LI Ran, et al. The finite element with generalized coefficients for stress intensity factor[J]. Engineering Mechanics, 2009, 26(3): 48-54.(in Chinese)

    YANG Lufeng, XU Hua, LI Ran, et al. The finite element with generalized coefficients for stress intensity factor[J]. Journal of Engineering Mechanics, 2009, 26(3): 48-54. (in Chinese))
    [13] 徐华, 邓鹏, 蓝淞耀, 等. 曲线裂纹裂尖SIFs等效分析的广义参数Williams单元确定方法[J]. 工程力学, 2020, 37(6): 34-41. (XU Hua, DENG Peng, LAN Songyao, et al. The determination method of Williams element with generalized degrees of freedom for equivalent analysis of SIFs at the curved crack tip[J]. Engineering Mechanics, 2020, 37(6): 34-41.(in Chinese)

    XU Hua, DENG Peng, LAN Songyao, et al. The determination method of Williams element with generalized degrees of freedom for equivalent analysis of SIFs at the curved crack tip[J]. Engineering Mechanics, 2020, 37(6): 34-41. (in Chinese))
    [14] 中国航空研究院. 应力强度因子手册[M]. 增订版. 北京: 科学出版社, 1993.

    Chinese Aeronautical Establishment. Handbook of Stress Intensity Factors[M]. Revised ed. Beijing: Science Press, 1993. (in Chinese)
  • 加载中
图(9) / 表(1)
计量
  • 文章访问数:  1094
  • HTML全文浏览量:  512
  • PDF下载量:  39
  • 被引次数: 0
出版历程
  • 收稿日期:  2021-10-25
  • 修回日期:  2021-12-20
  • 刊出日期:  2022-07-15

目录

    /

    返回文章
    返回